viimane versioon :
27/04/2026
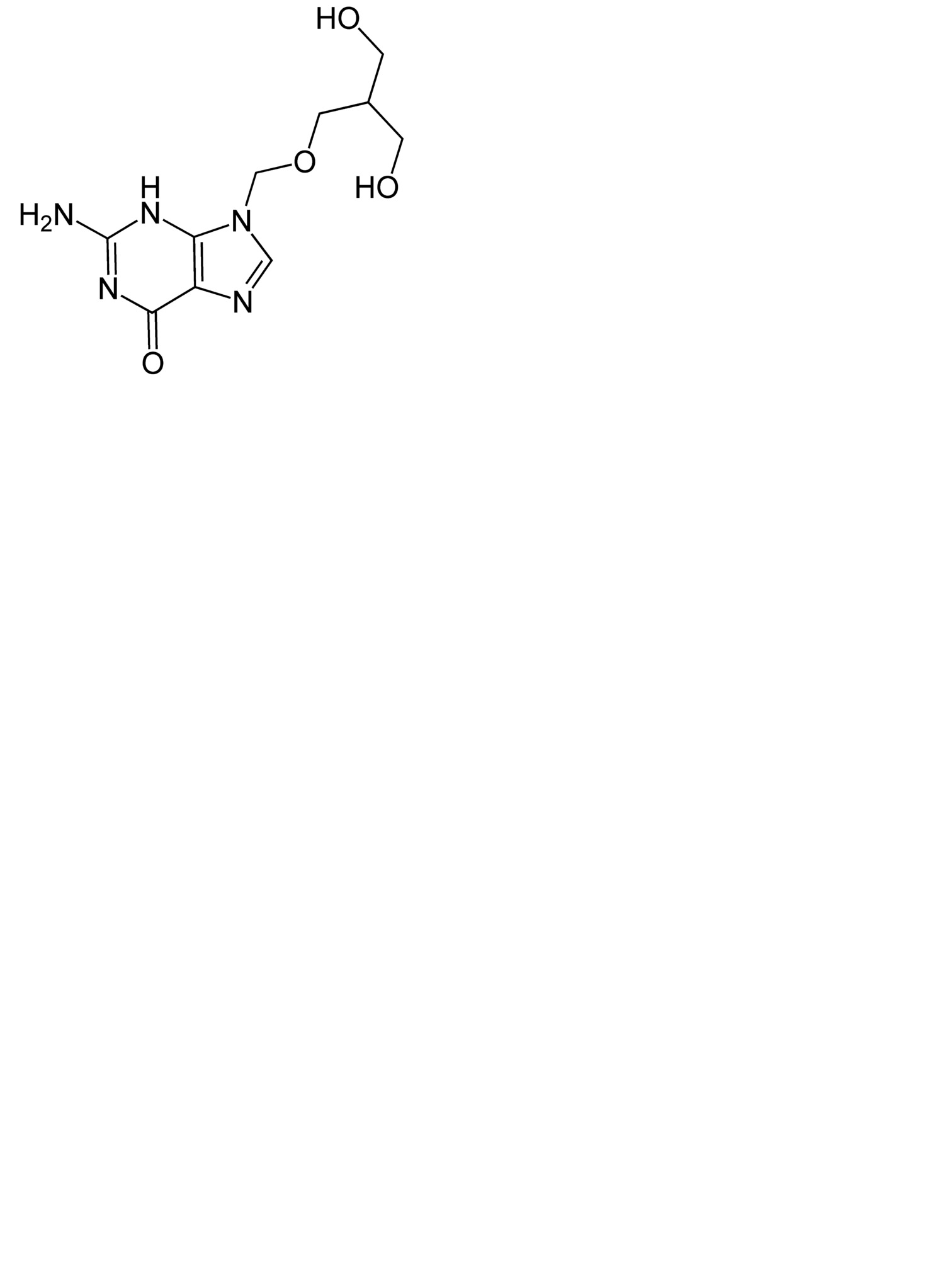
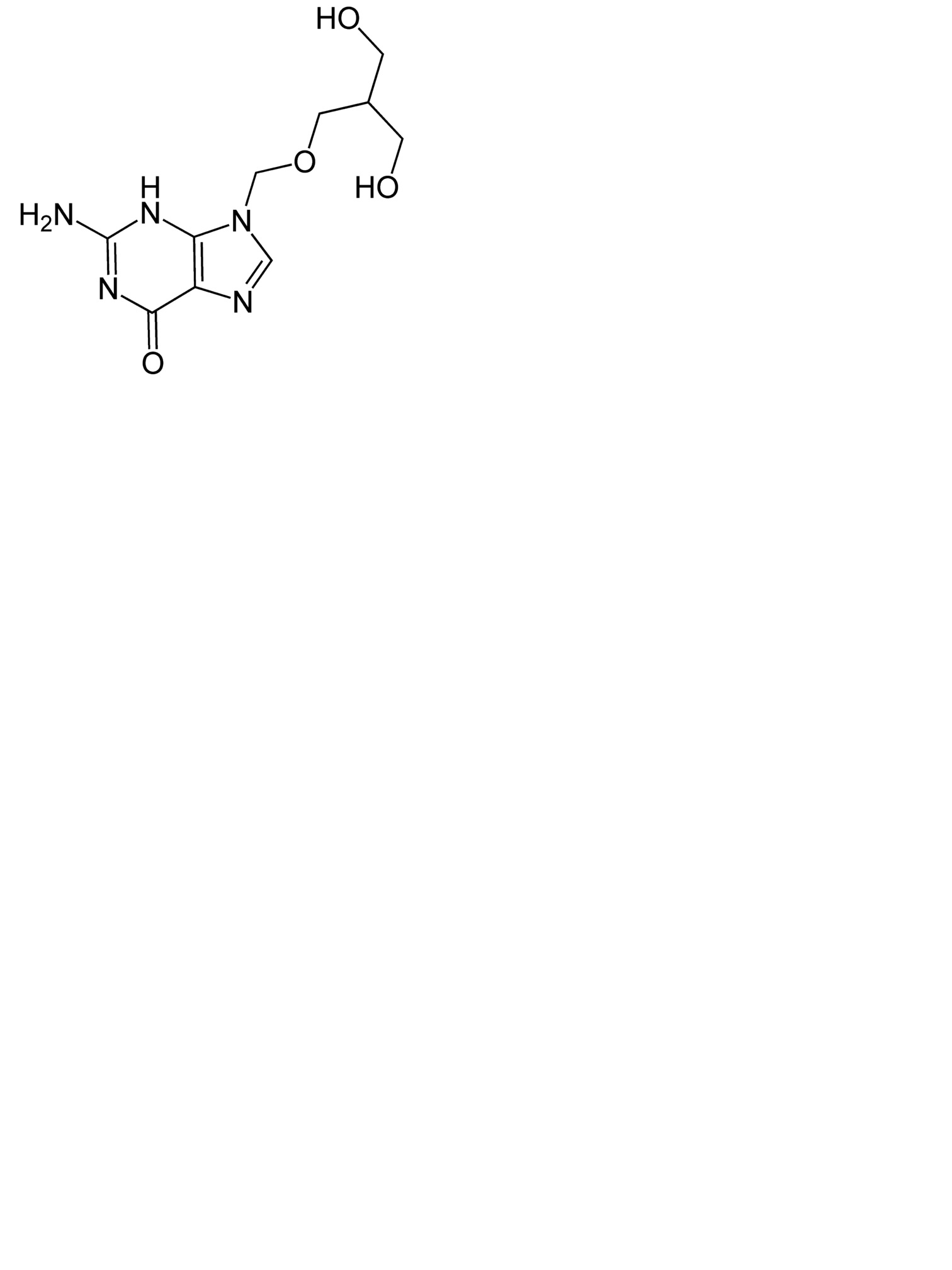
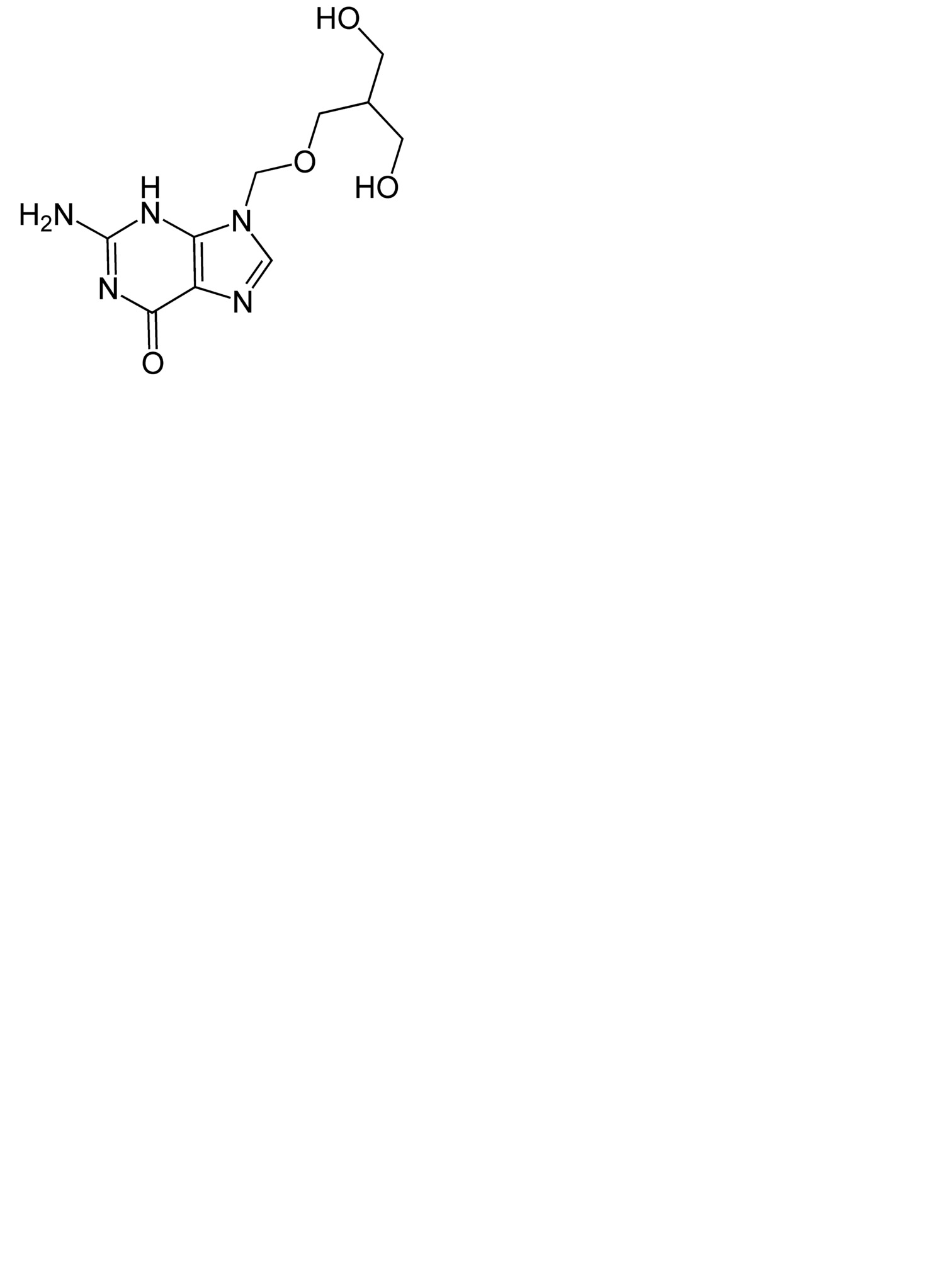
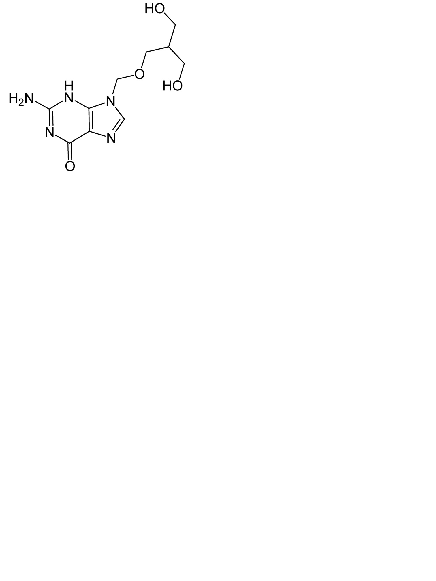
Viirusevastane ravim   Ganciclovir  
Silmatilgad
Stabiilsust ravimpreparaadid Stabiilsust mõjutavad tegurid stabiilsust mõjutavad faktorid Sobimatus Viited pdf
   keemiline struktuur  

Silmatilgad
Sobimatus   Silmatilgad   Sobimatus : Ganciclovir              
andmed puuduvad

  Mentions Légales