fermer
Senaste uppdateringen :
16/12/2025
Infostab
Förteckning över substanser
Sammanfattande listor
Sök efter kompatibilitet
Kompatibilitetstabell
Hänvisningar
forskargrupper
valistab
Posters
Anslutningar
sponsorer
Författare
Användaranvisning
Nyhetsbladet
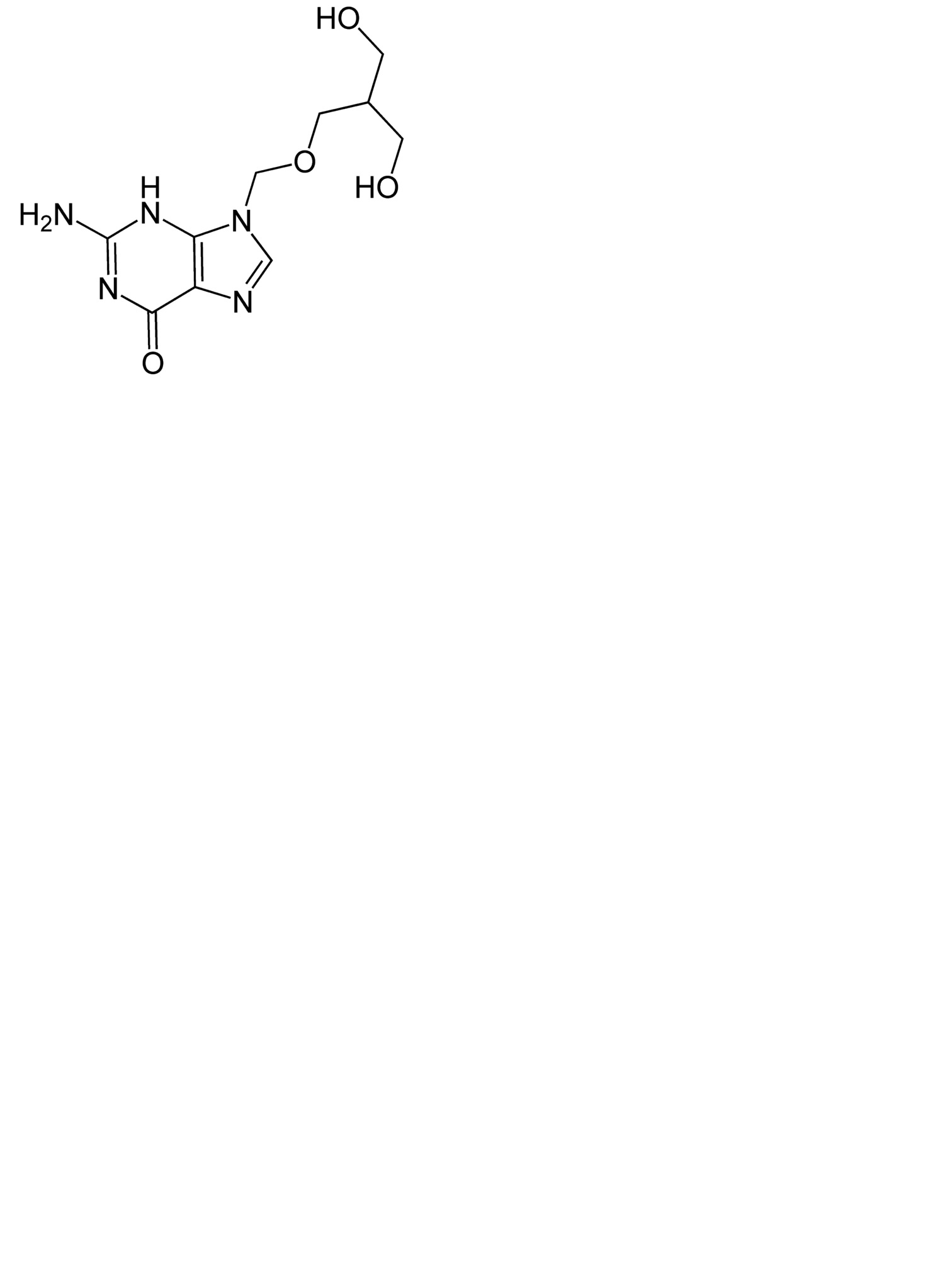
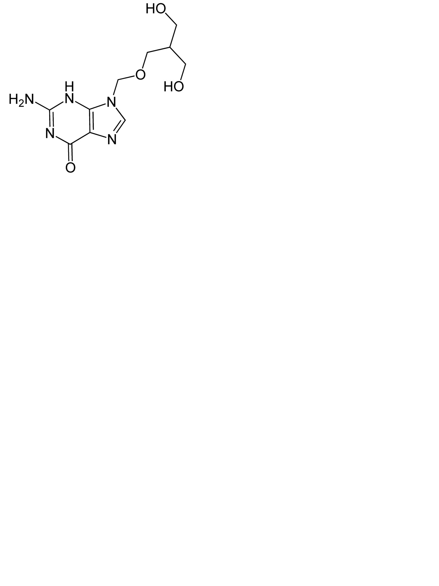
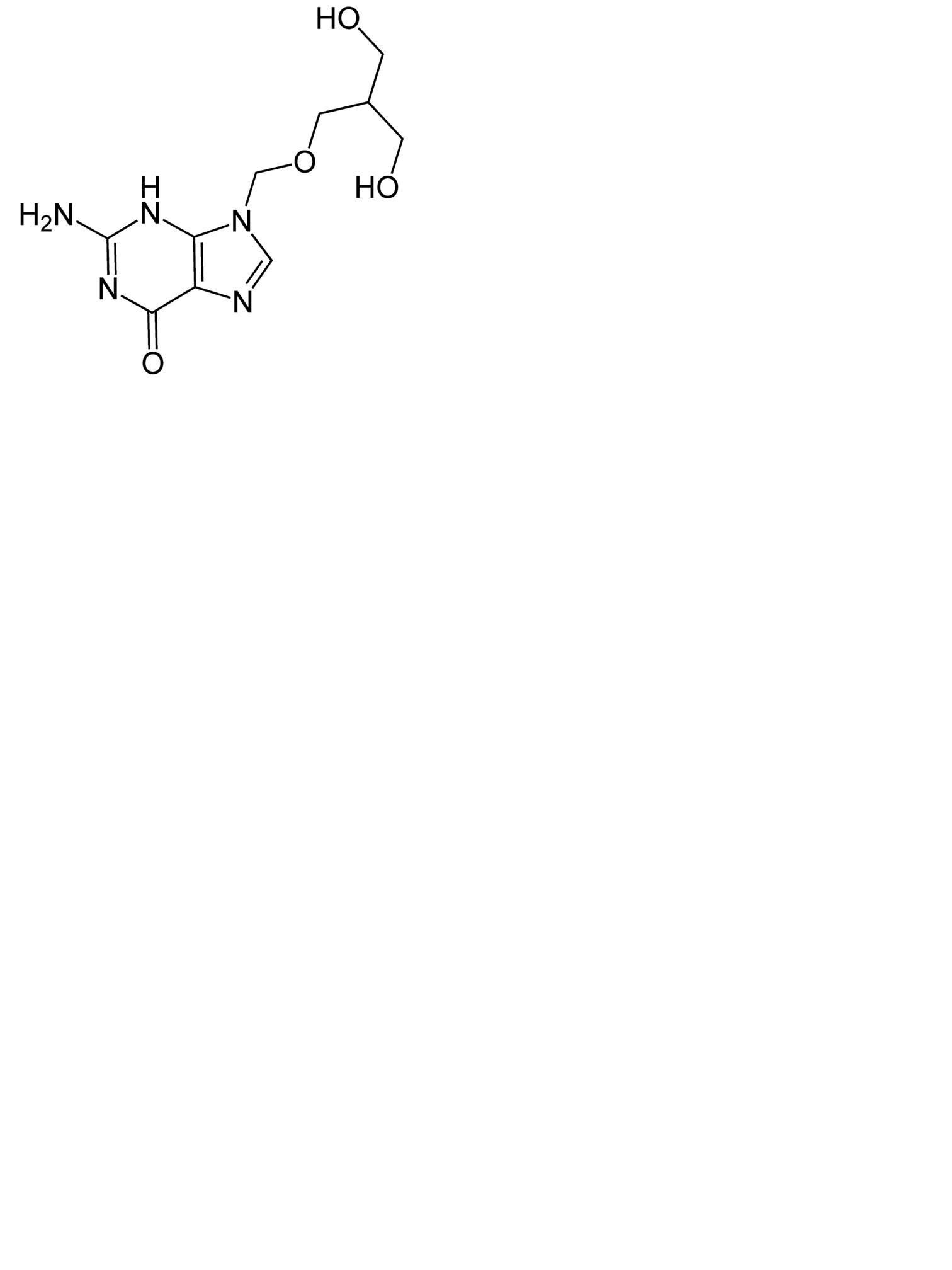
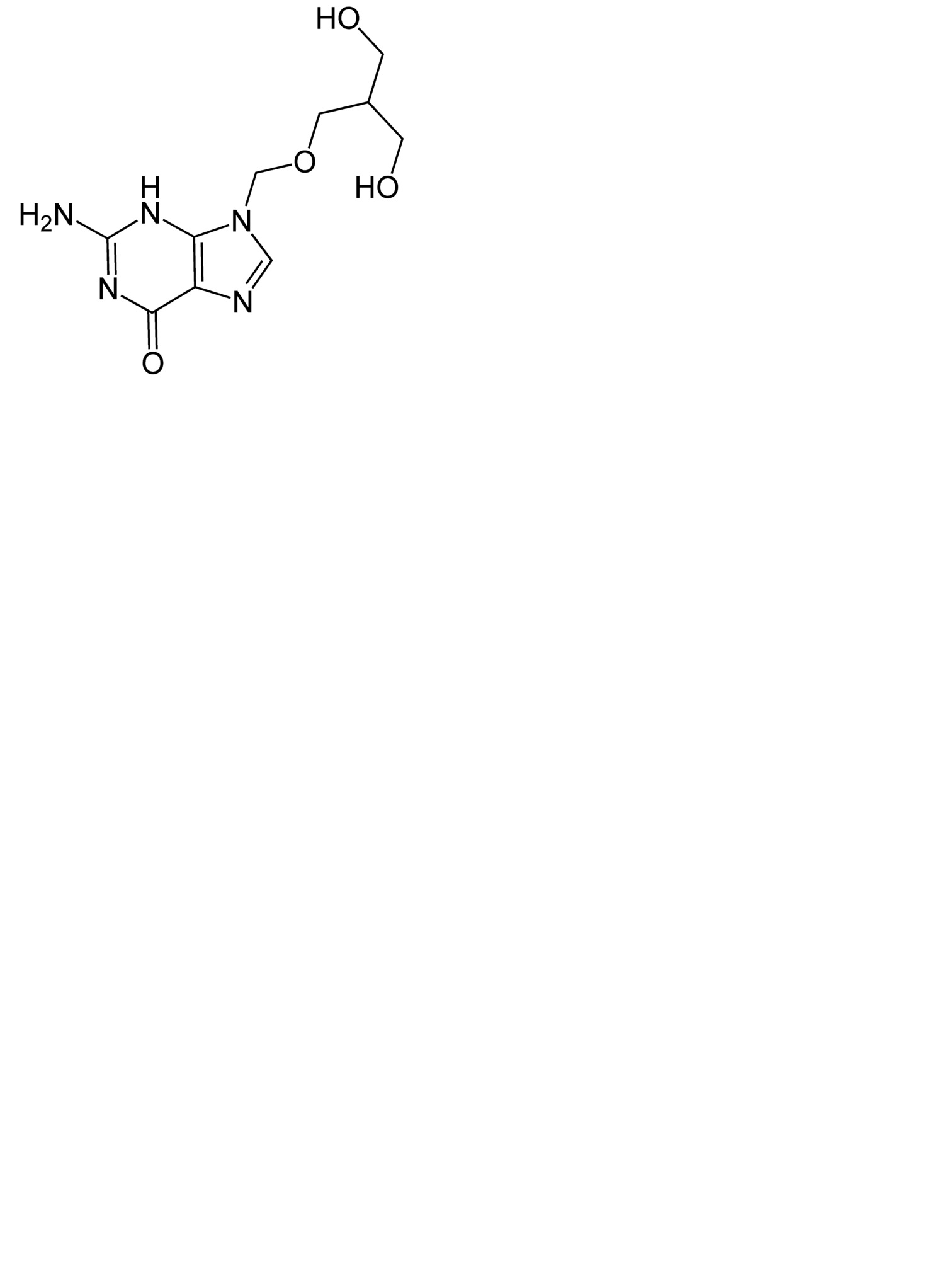
Ganciclovir
Molekylstruktur
Kompatibilitet : Ganciclovir
Ingen uppgift
Mentions Légales