Последно актуализиране :
27/04/2026
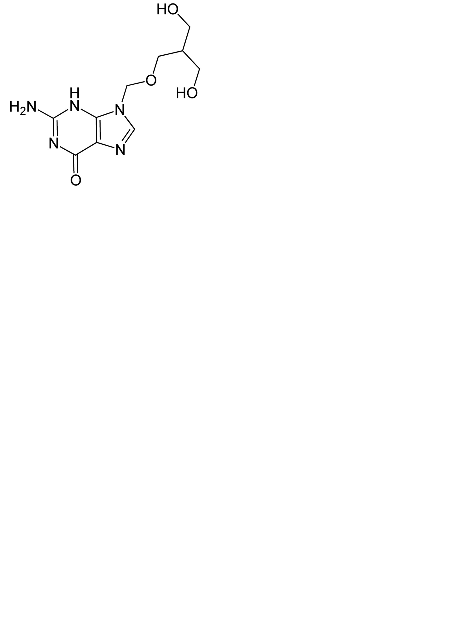
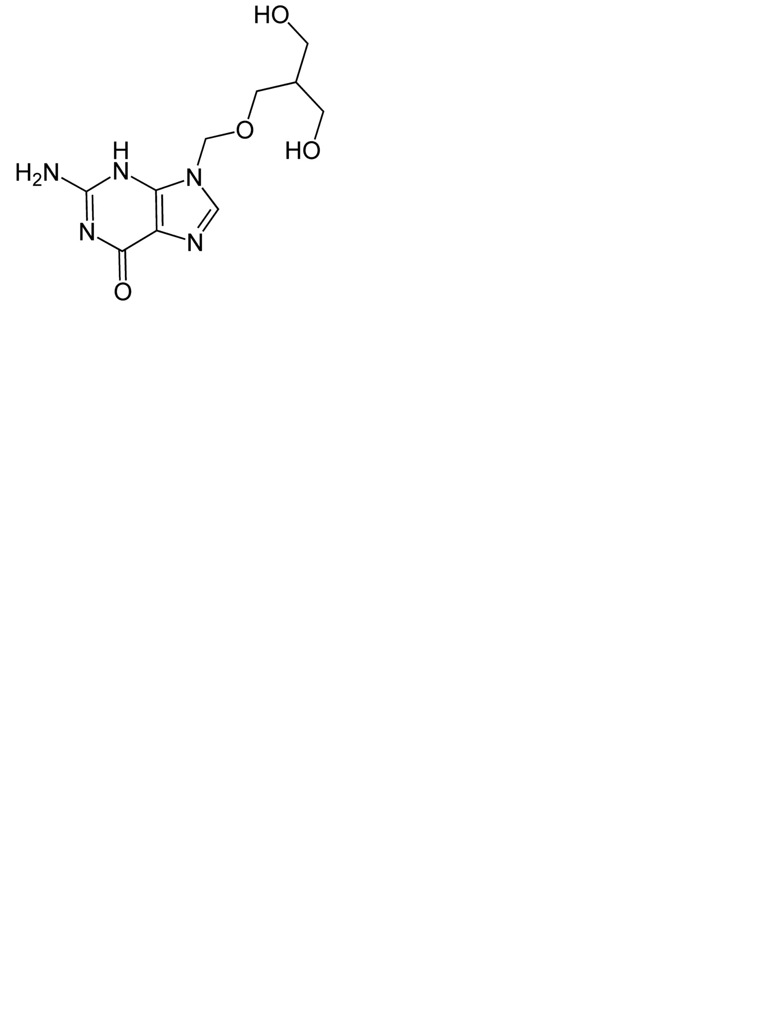
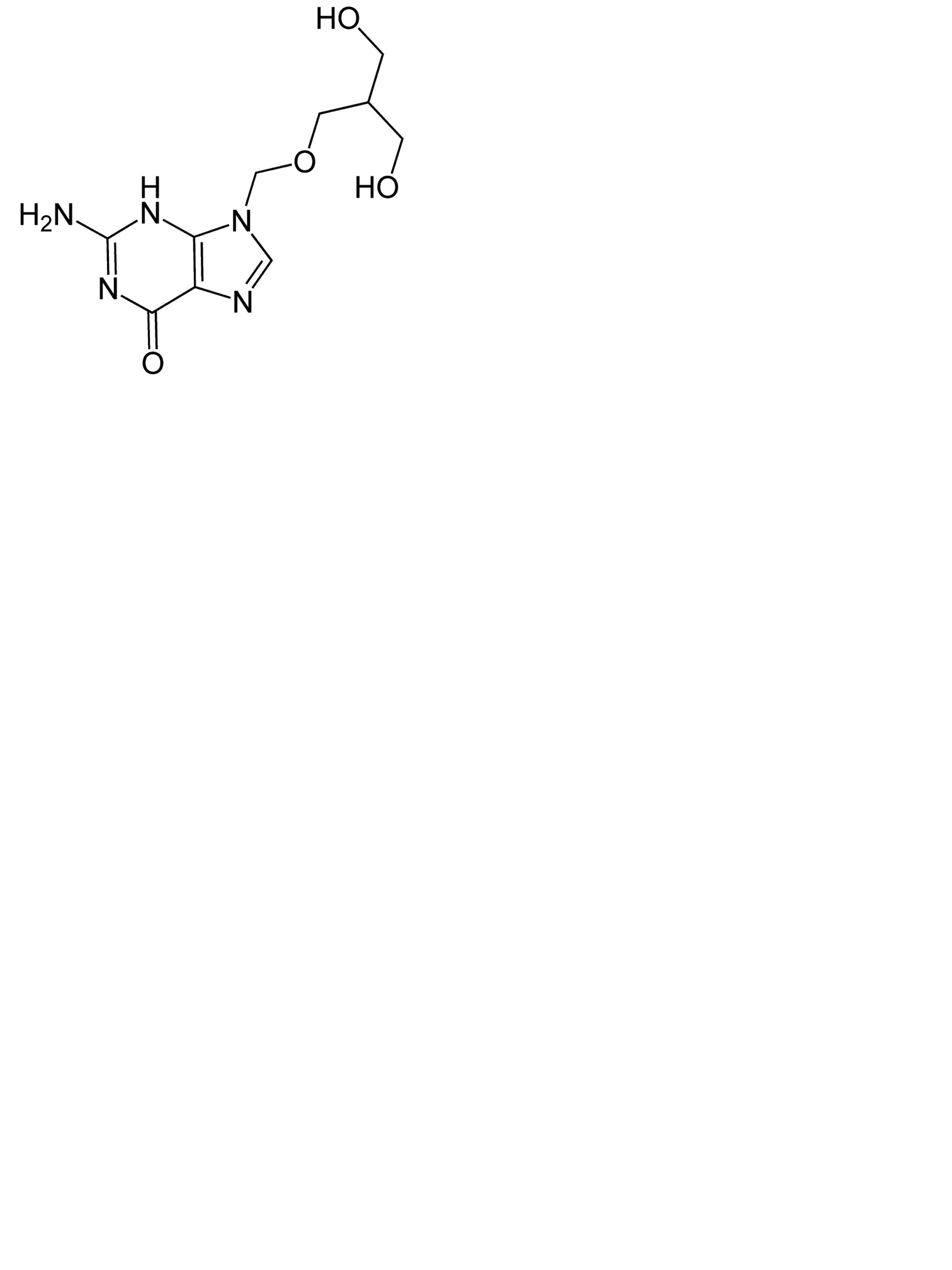
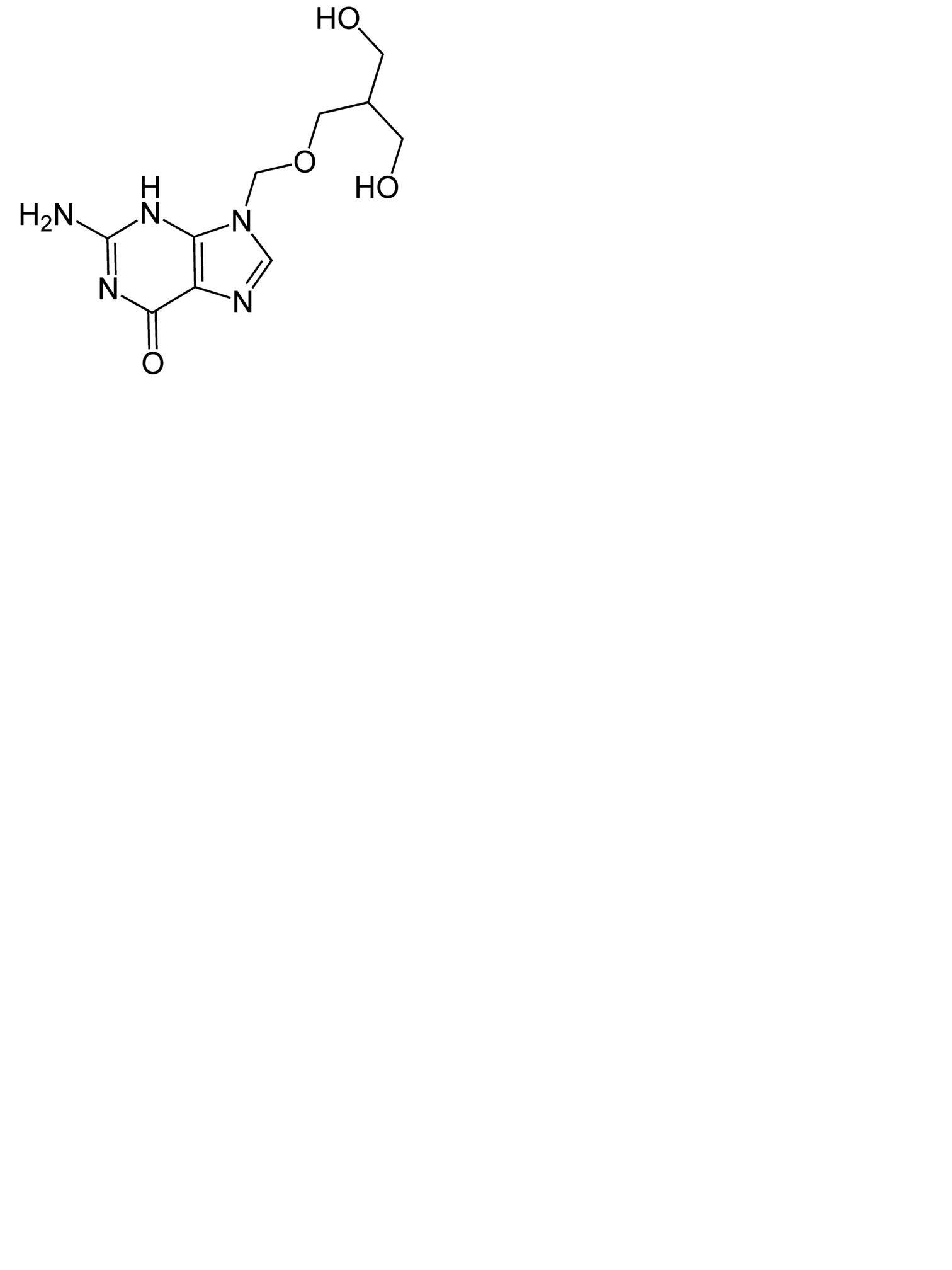
Противовирусно средство   Ganciclovir  
Капки за очи
Стабилност на лекарствени препарати Стабилност на смеси Фактори, повлияващи стабилността Съвместимост Библиография Pdf
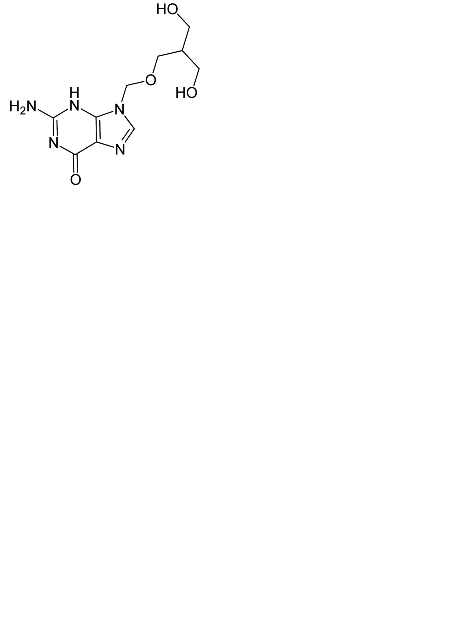
   Химична структура  

Капки за очи
Съвместимост   Капки за очи   Съвместимост : Ganciclovir              
Няма данни

  Mentions Légales