Zadnji put ažurirano :
27/04/2026
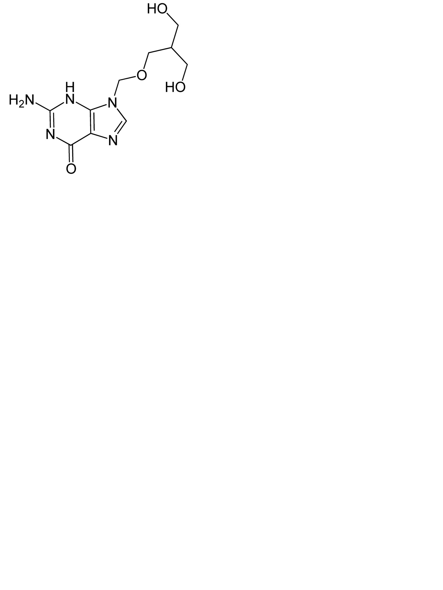
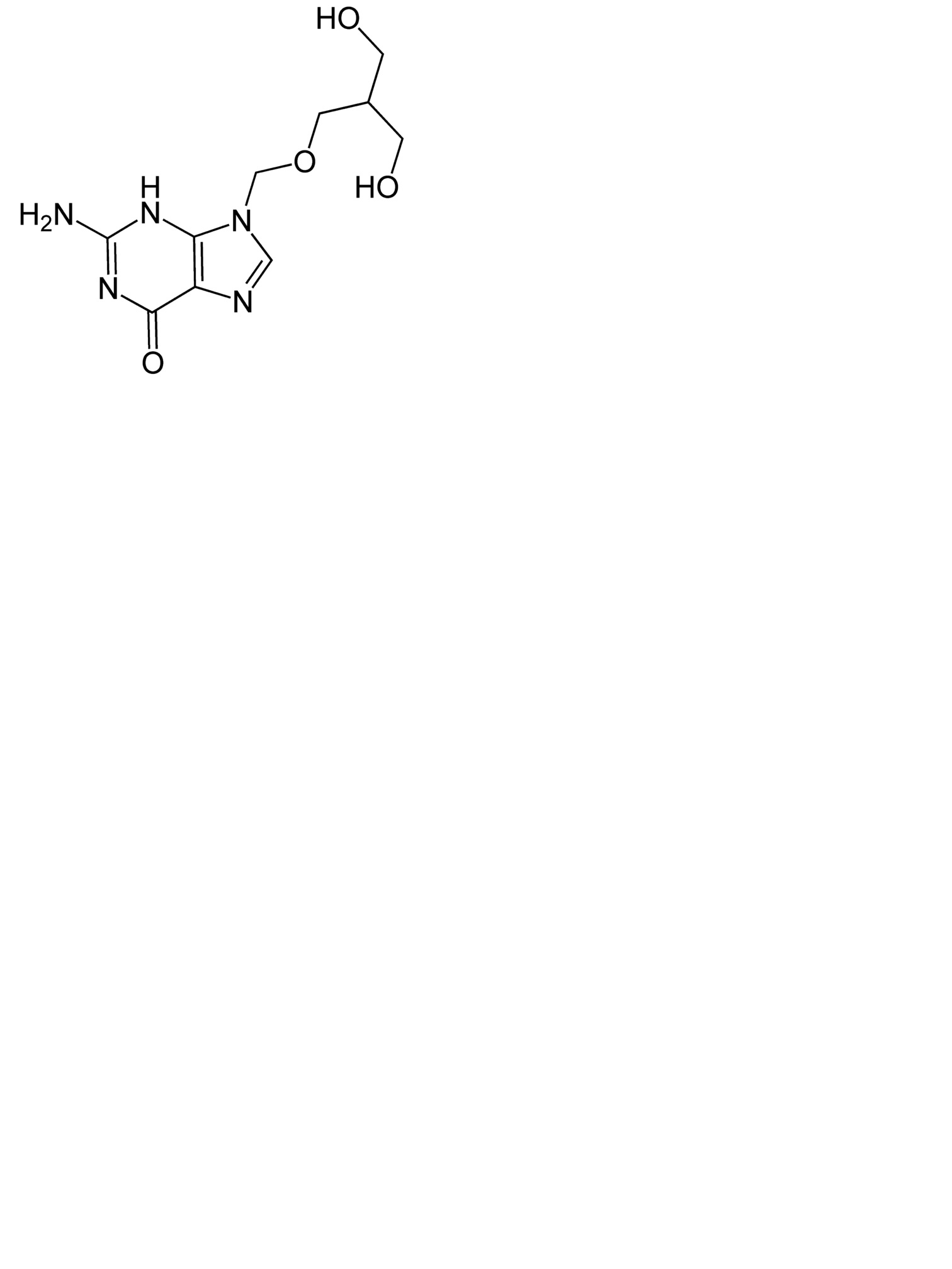
protuvirusan   Ganciclovir  
kapi za oko
Stabilnost farmaceutskih pripravaka Stabilnost mješavine Stabilizacijski faktor Kompatibilnosti Bibliografija pdf
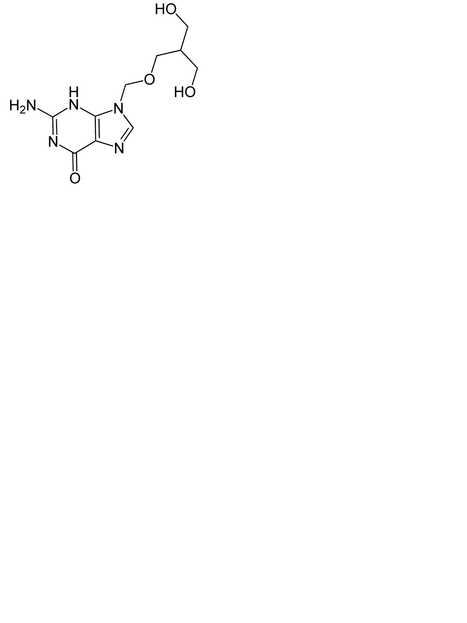
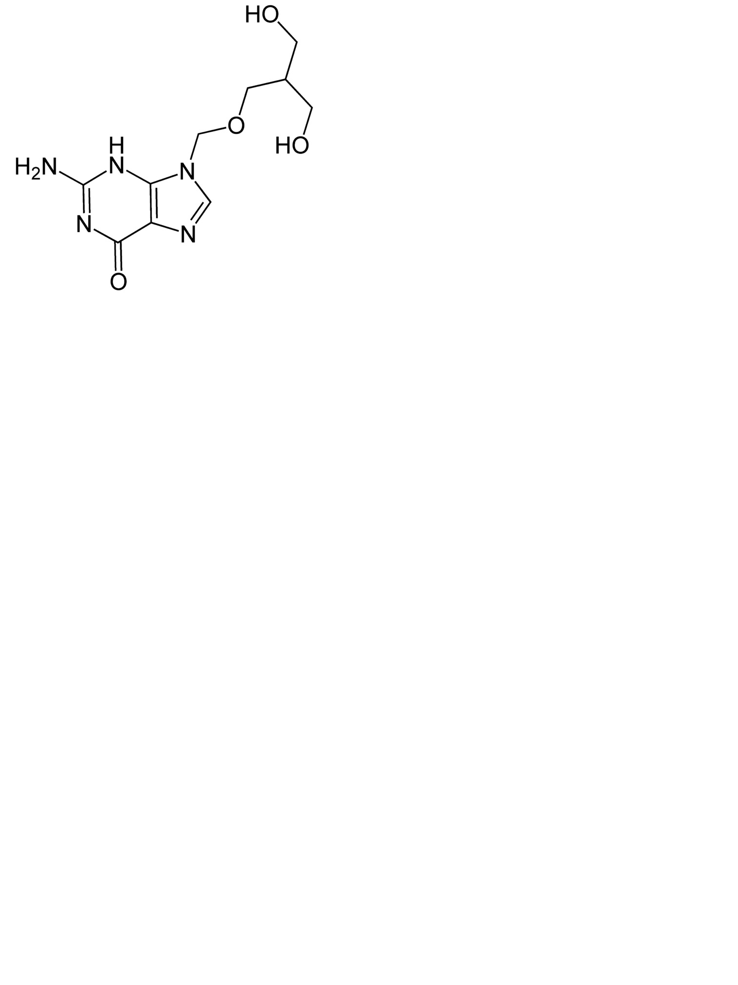
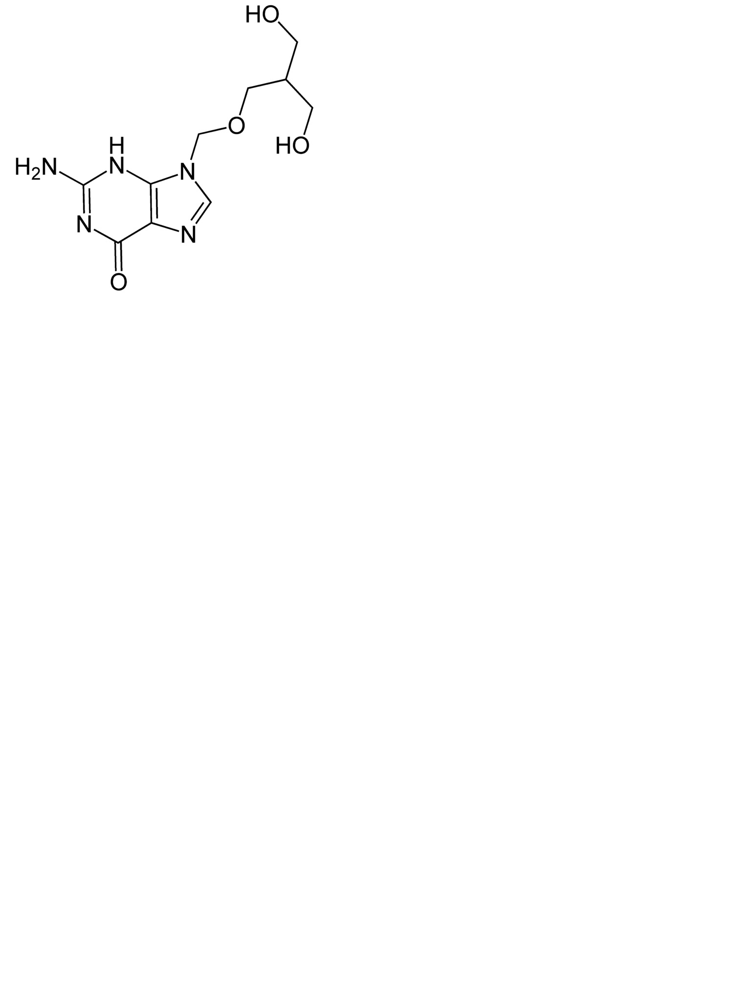
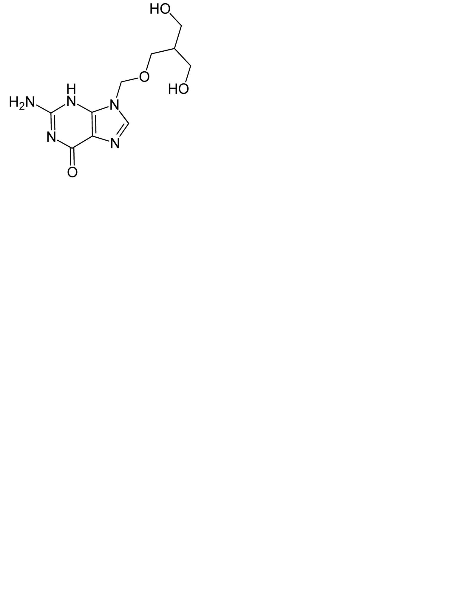
   Kemijska struktura  

kapi za oko
Kompatibilnosti   kapi za oko   Kompatibilnosti : Ganciclovir              
bez podataka

  Mentions Légales