Poslední aktualizace :
27/04/2026
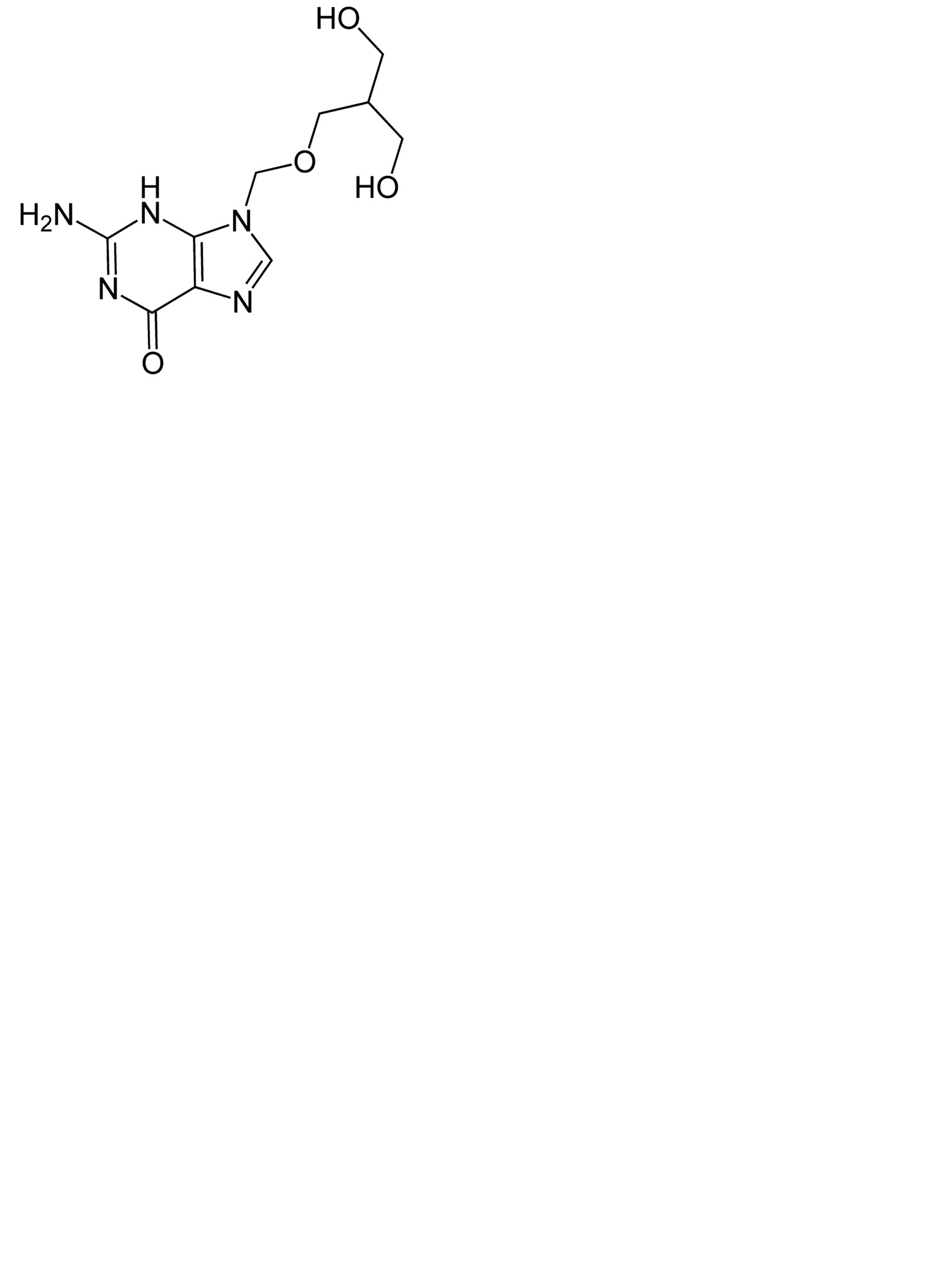
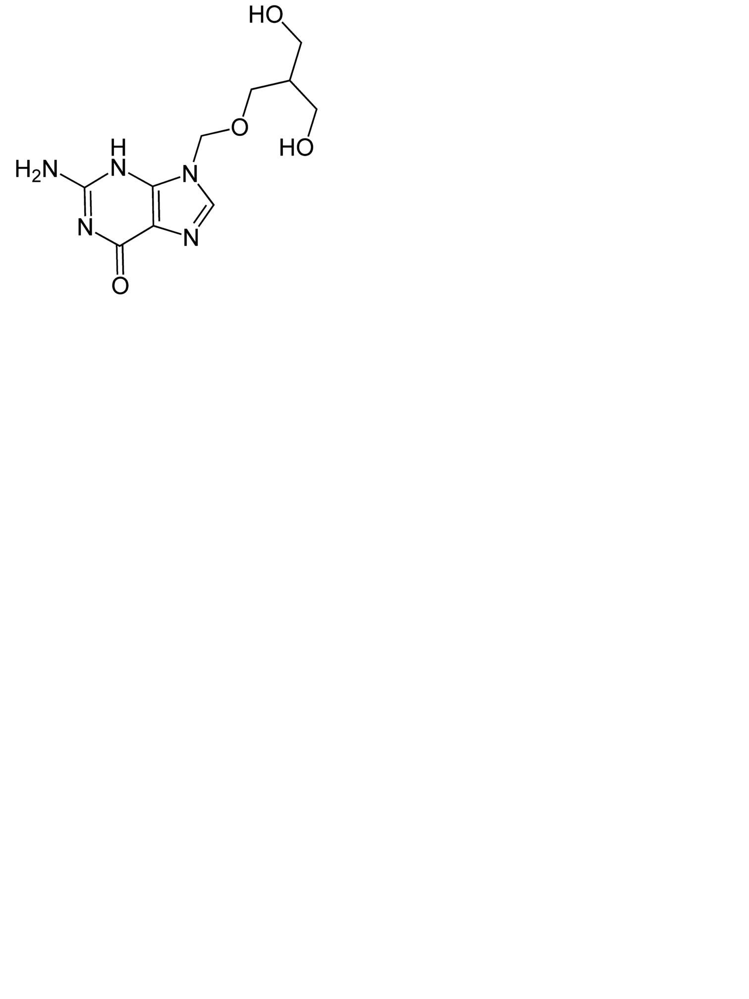
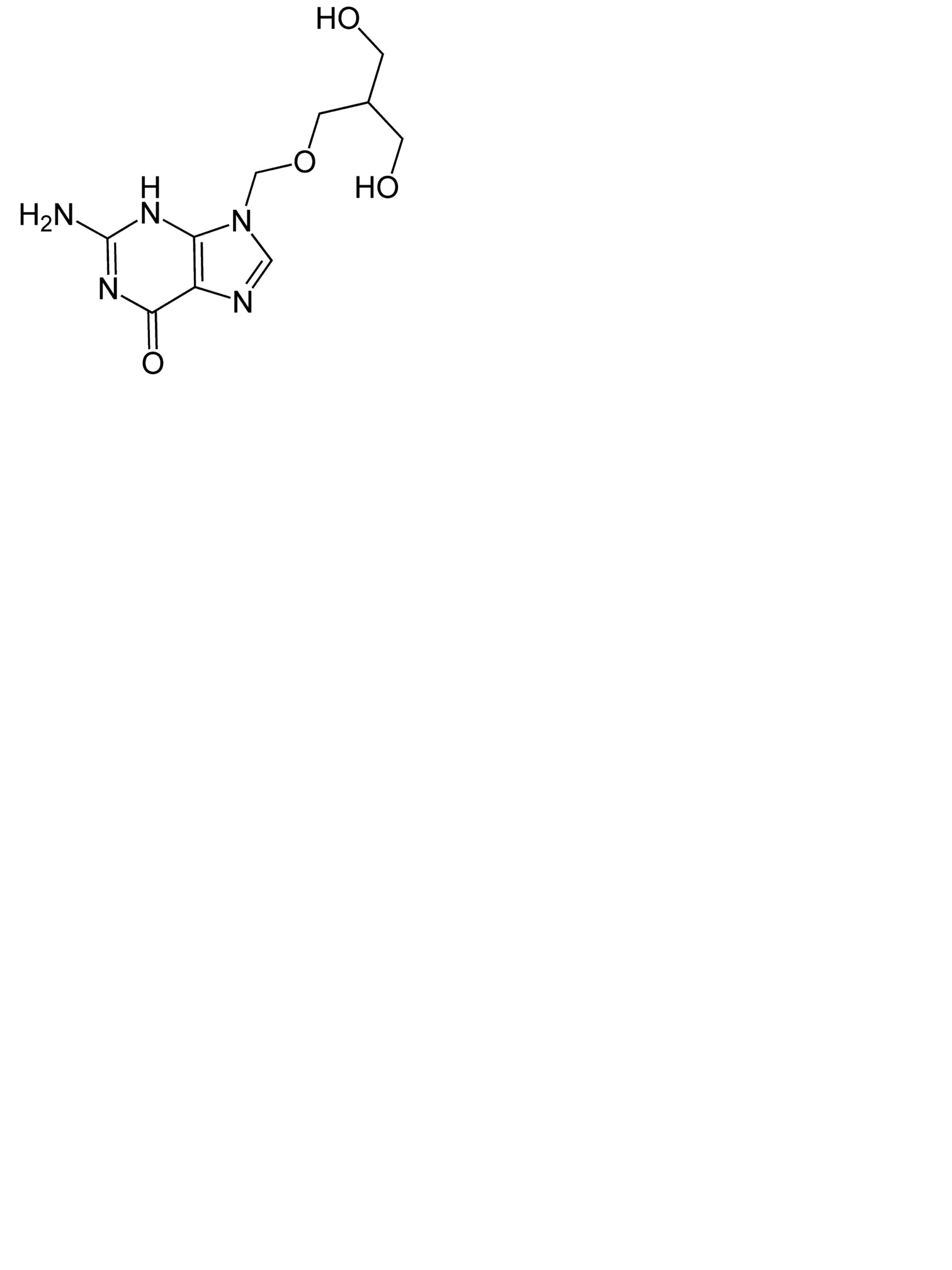
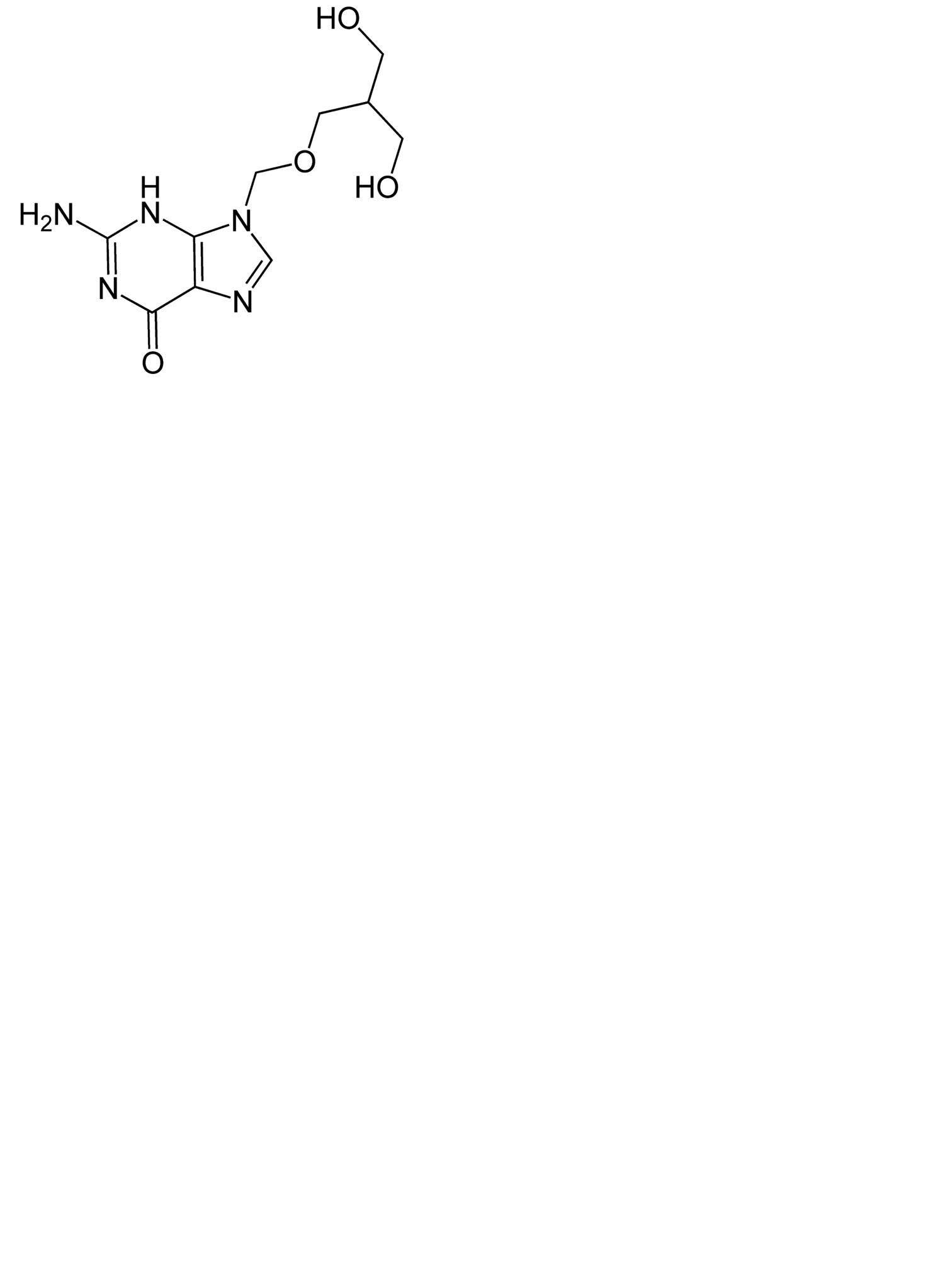
Antivirotikum   Ganciclovir  
Humbuk
Stabilita farmaceutických přípravků Stabilita směsí Faktory ovlivňující stabilitu Kompatibilita Odkazy pdf
   Chemický vzorec  

Humbuk
Kompatibilita   Humbuk   Kompatibilita : Ganciclovir              
žádná data

  Mentions Légales