Seneste opdatering :
27/04/2026
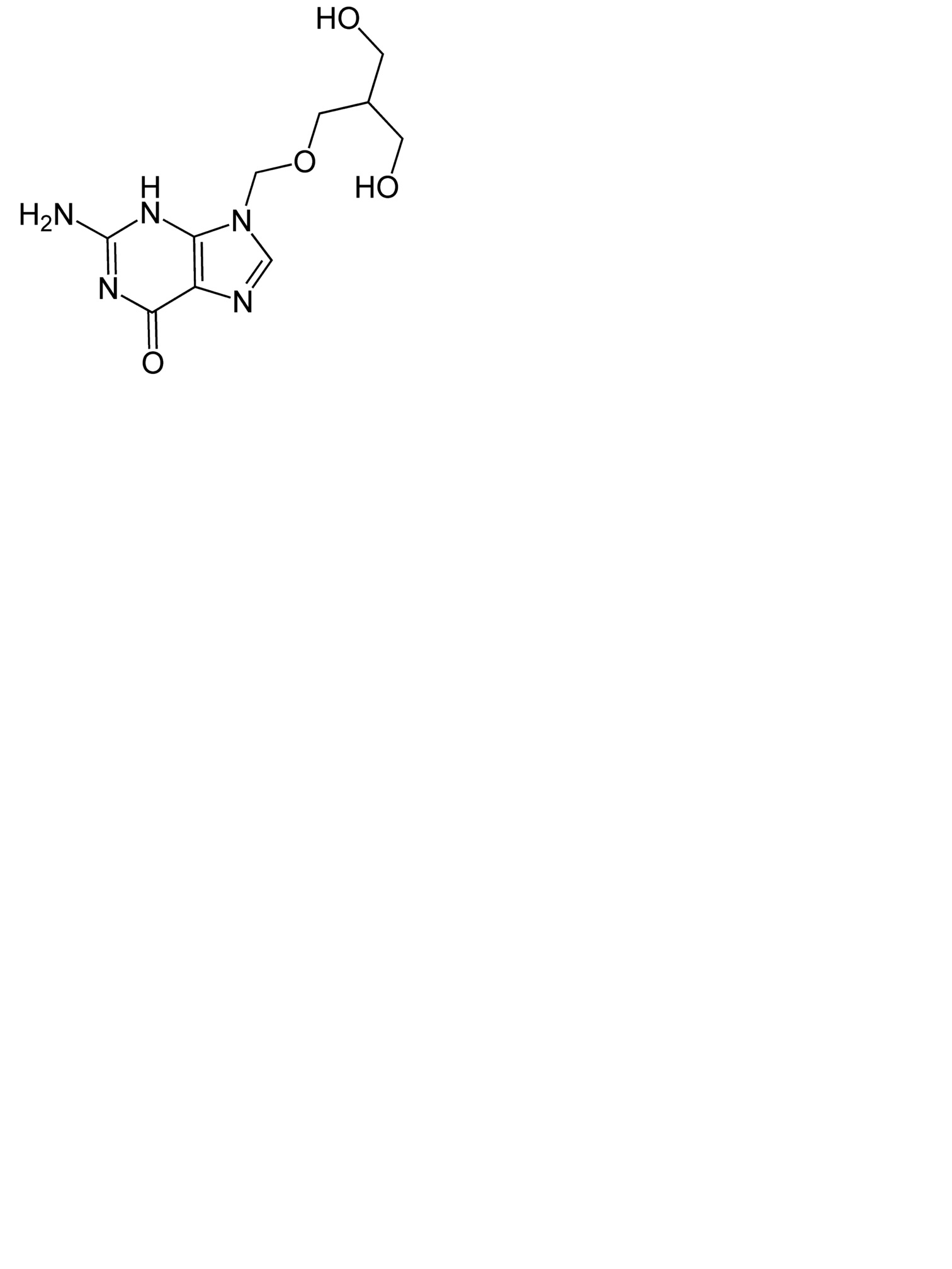
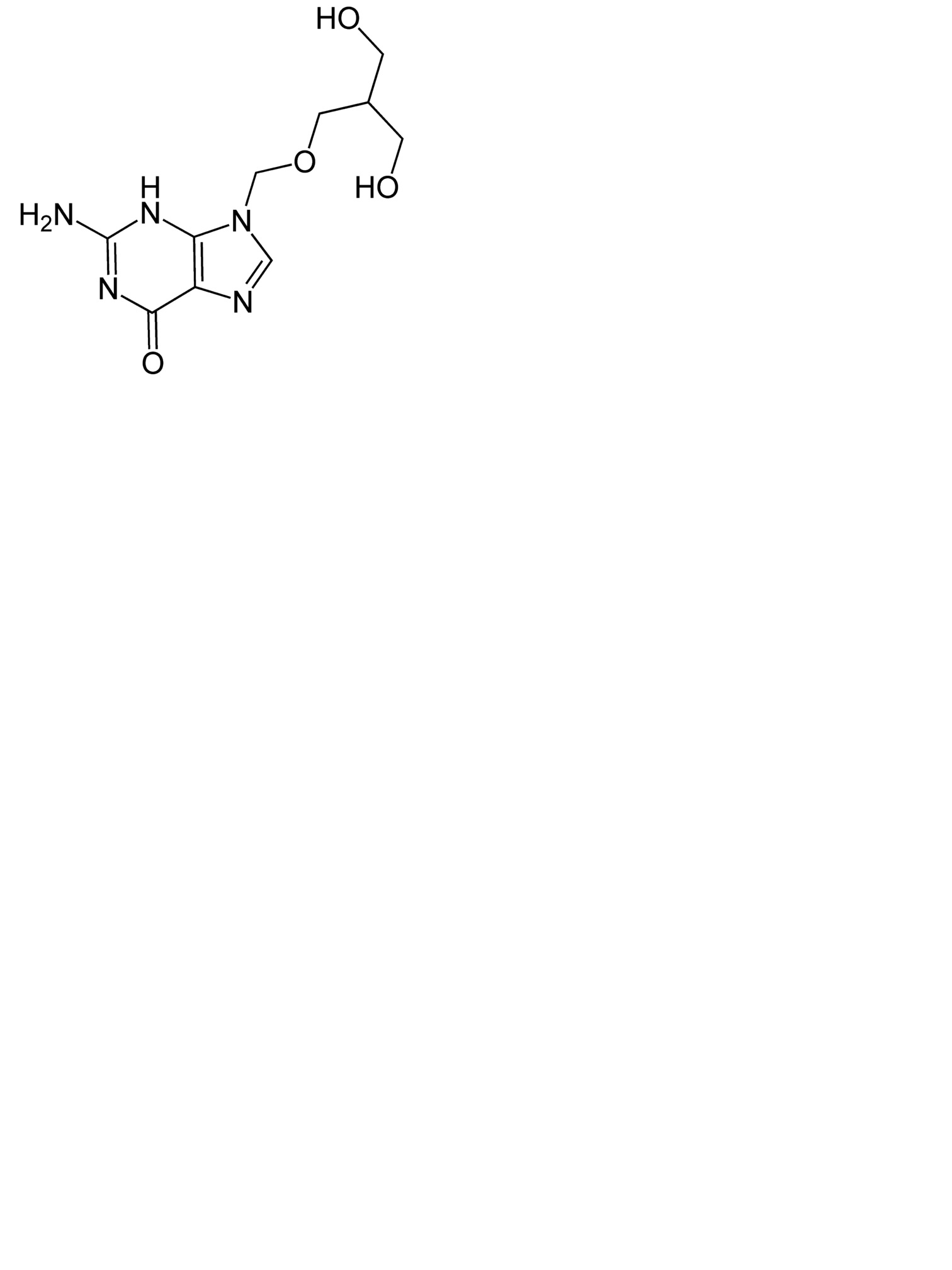
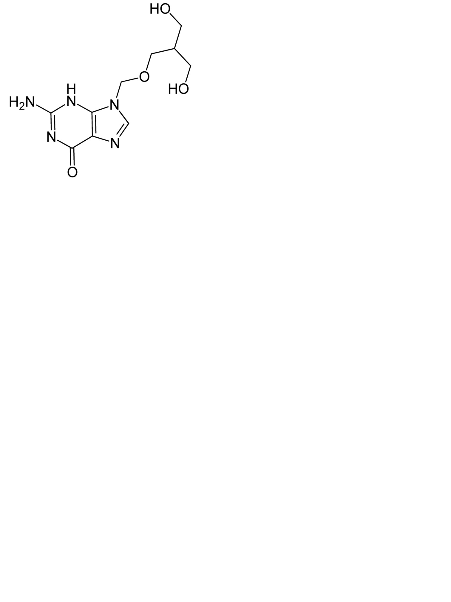
Antiviral   Ganciclovir  
Øjendråber
Stabilitet af farmaceutiske tilberedninger Stabilitet i blandinger Faktorer der påvirker stabiliteten Kompatibilitet Bibliografi pdf
   Kemisk struktur  

Øjendråber
Kompatibilitet   Øjendråber   Kompatibilitet : Ganciclovir              
Ingen data

  Mentions Légales