Posledná aktualizácia :
27/04/2026
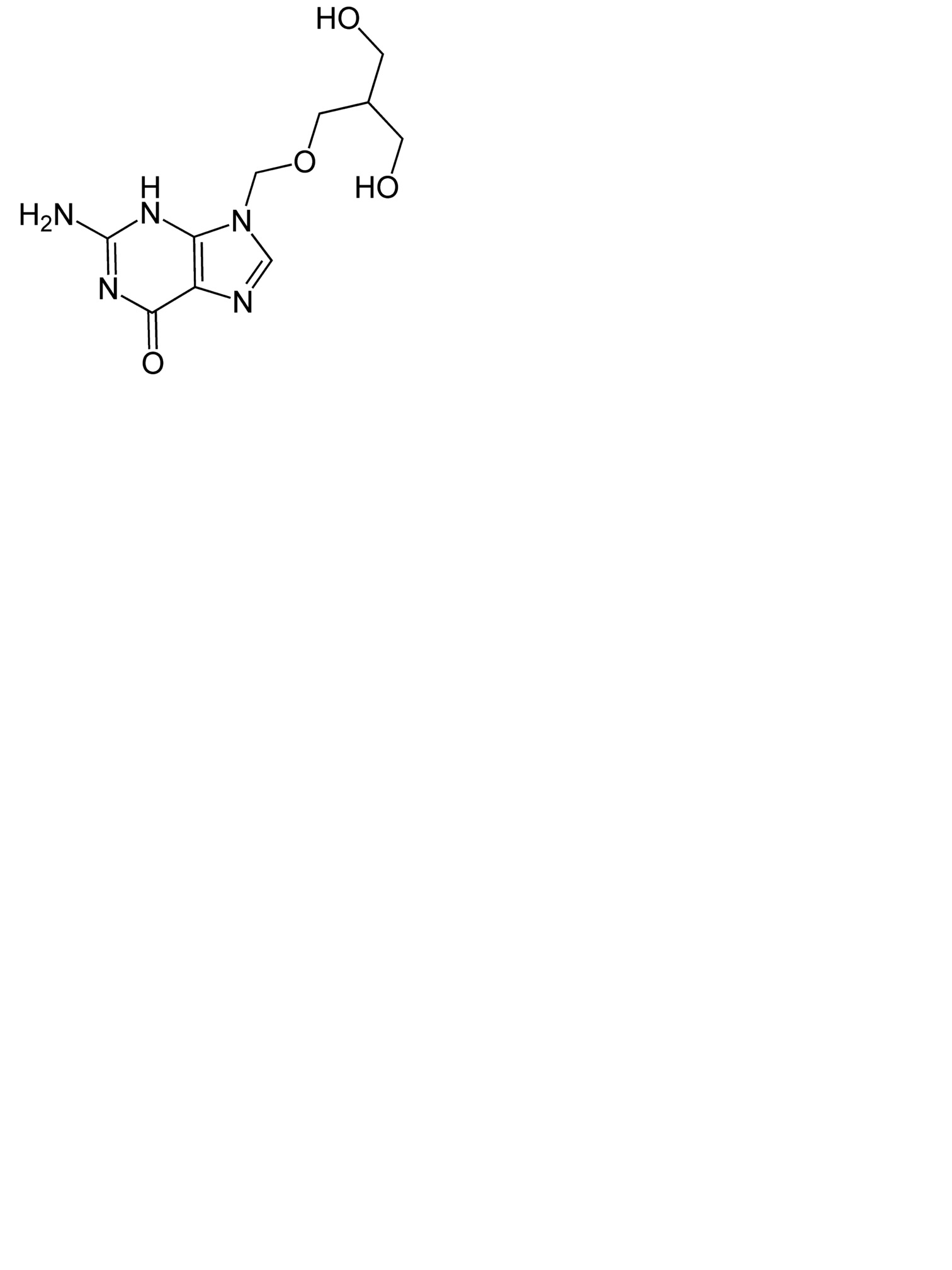
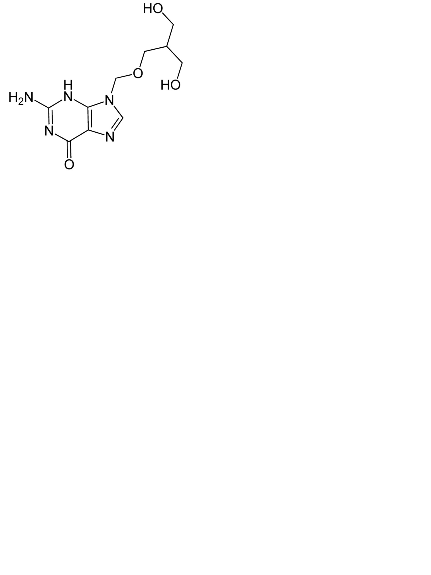
antivirotikum   Ganciclovir  
Očná instilácia
Stabilita farmaceutických prípravkov Stabilita v zmesiach Faktory ovplyvňujúce stabilitu Kompatibility Odkazy na literatúru PDF
   Chemický vzorec  

Očná instilácia
Kompatibility   Očná instilácia   Kompatibility : Ganciclovir              
žiadne údaje

  Mentions Légales