最新更新 :
27/04/2026
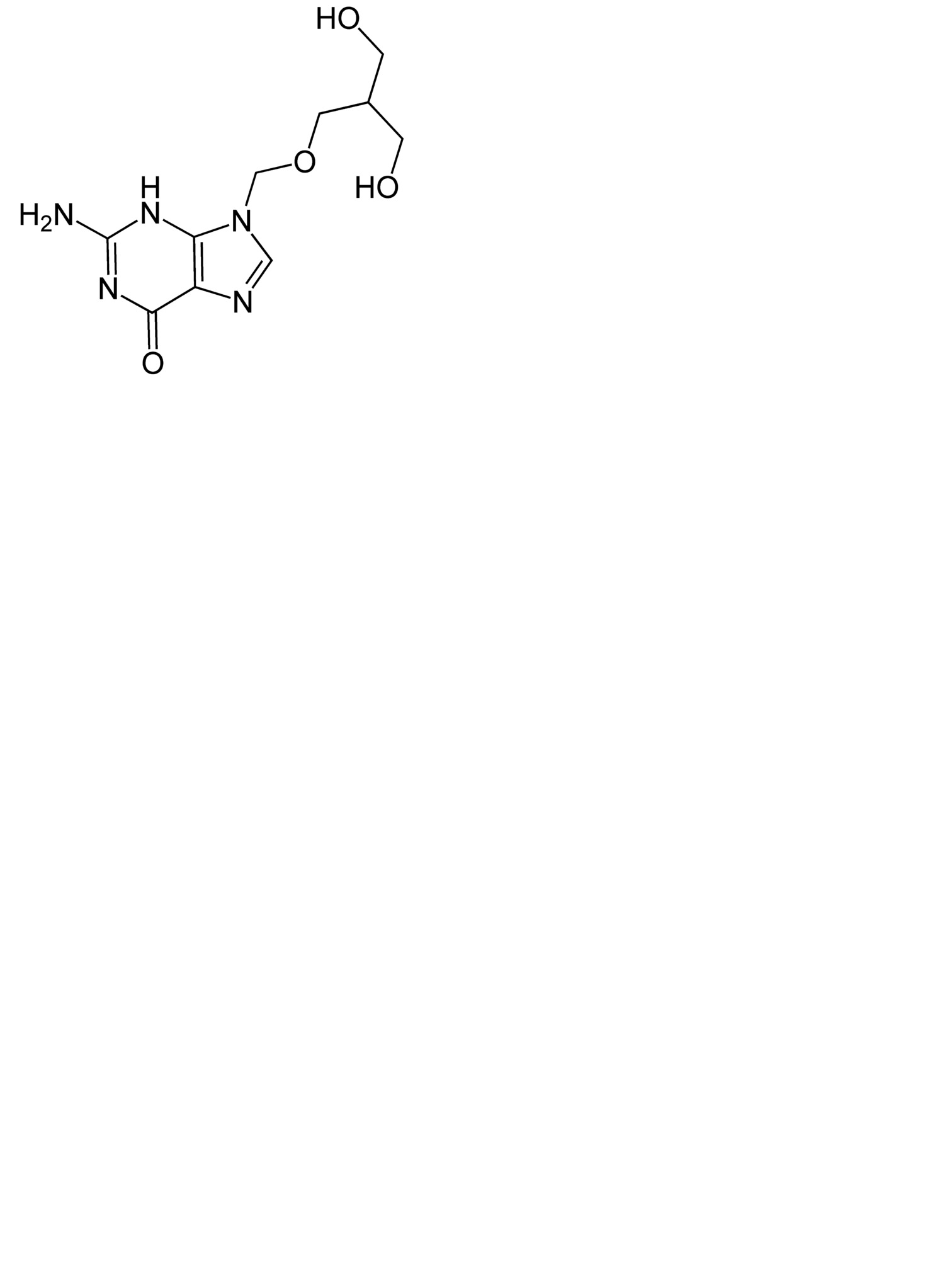
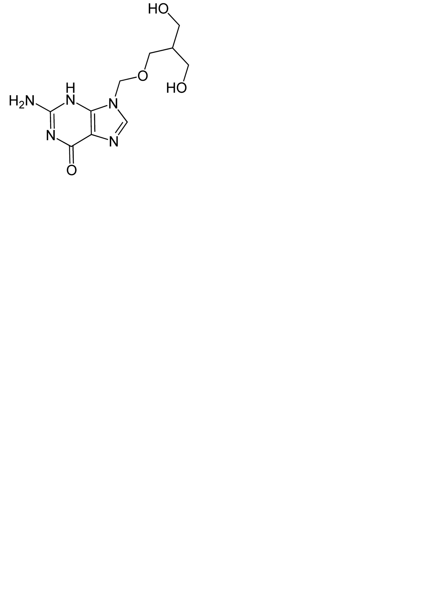
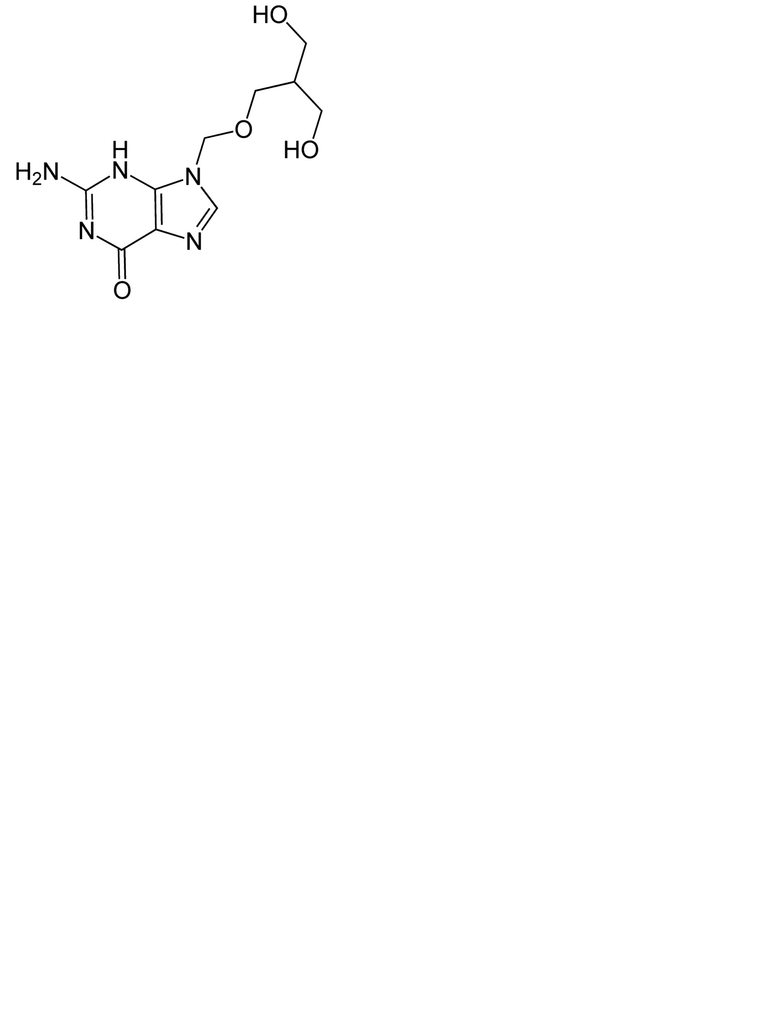
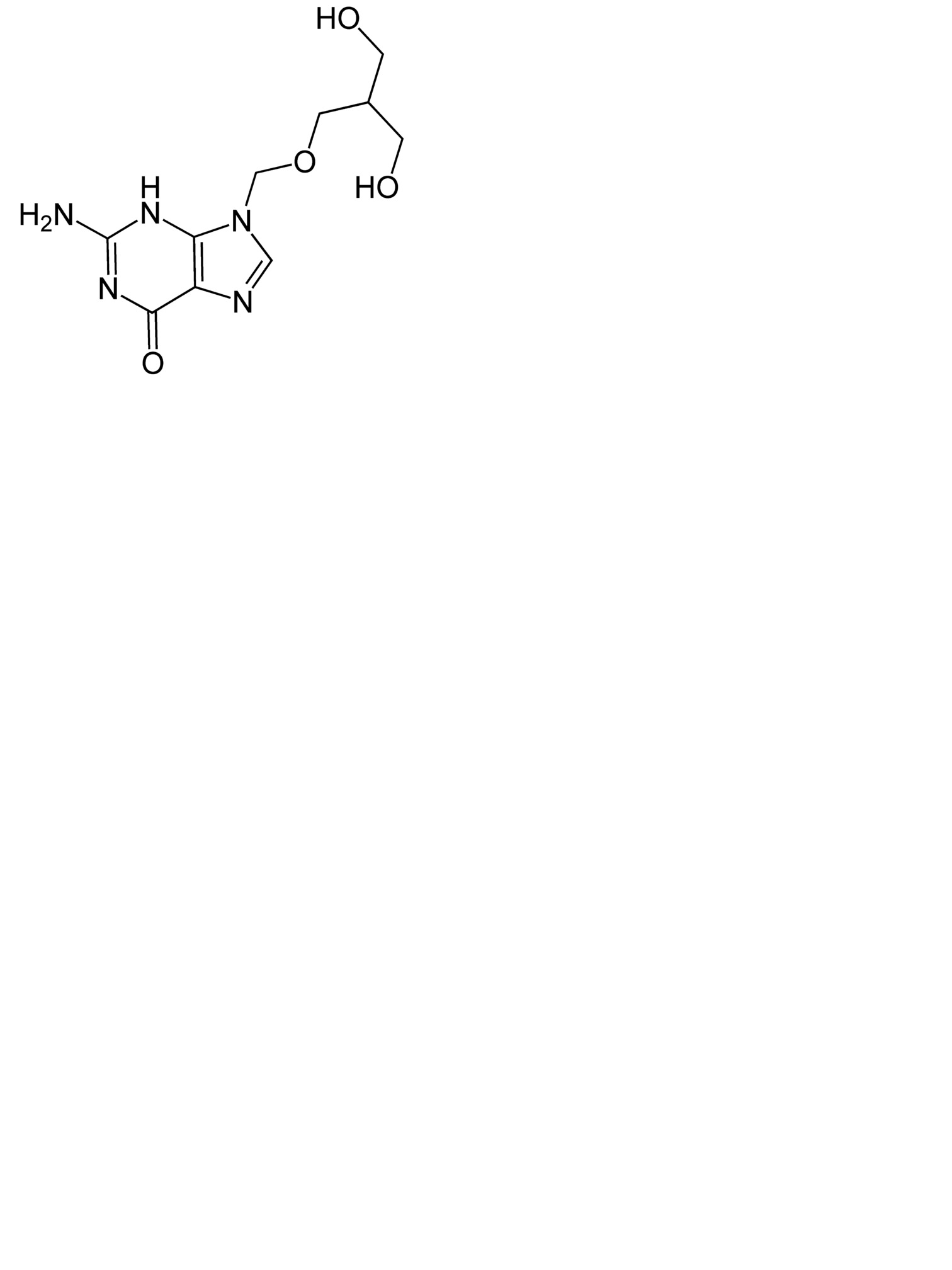
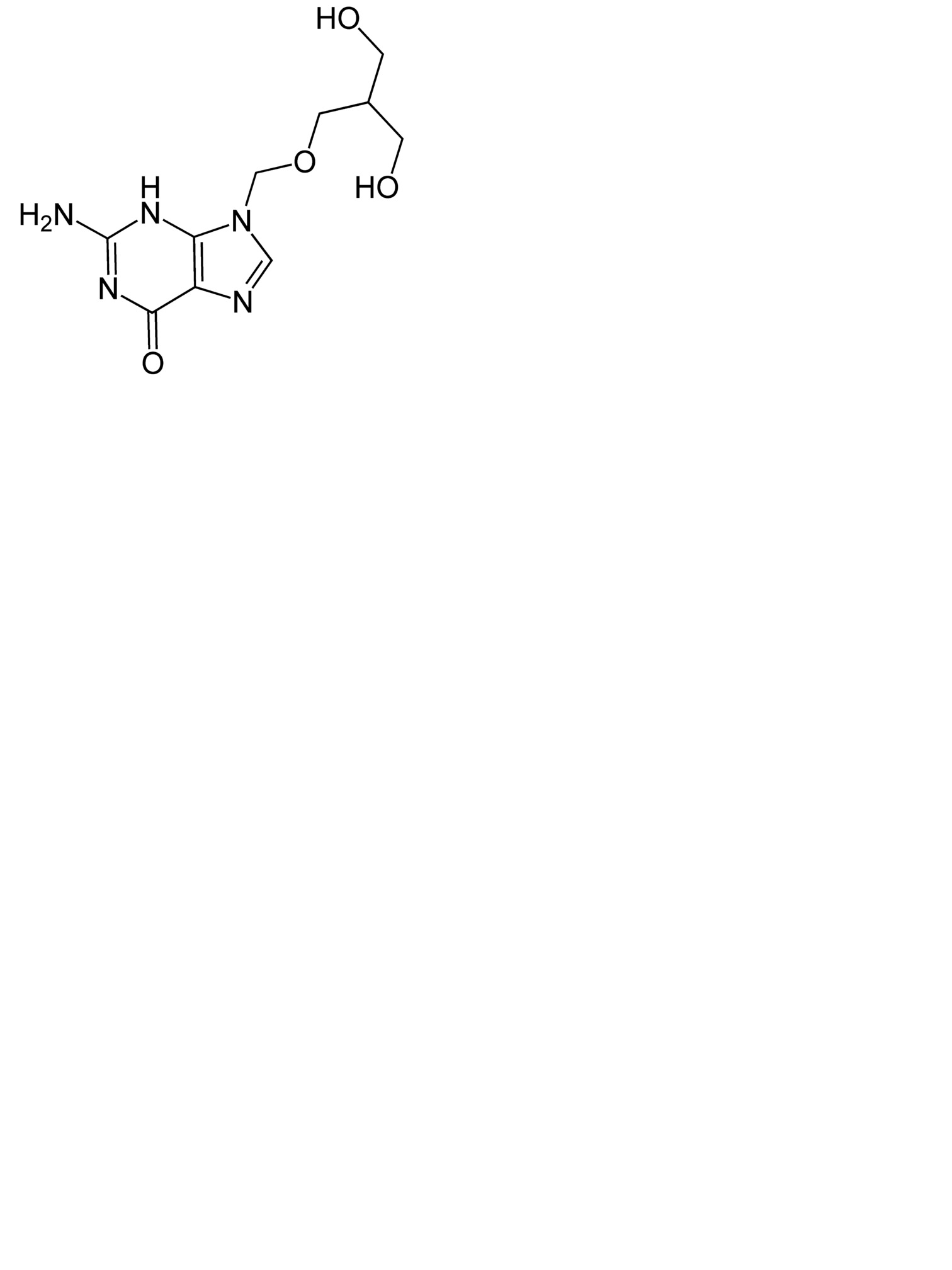
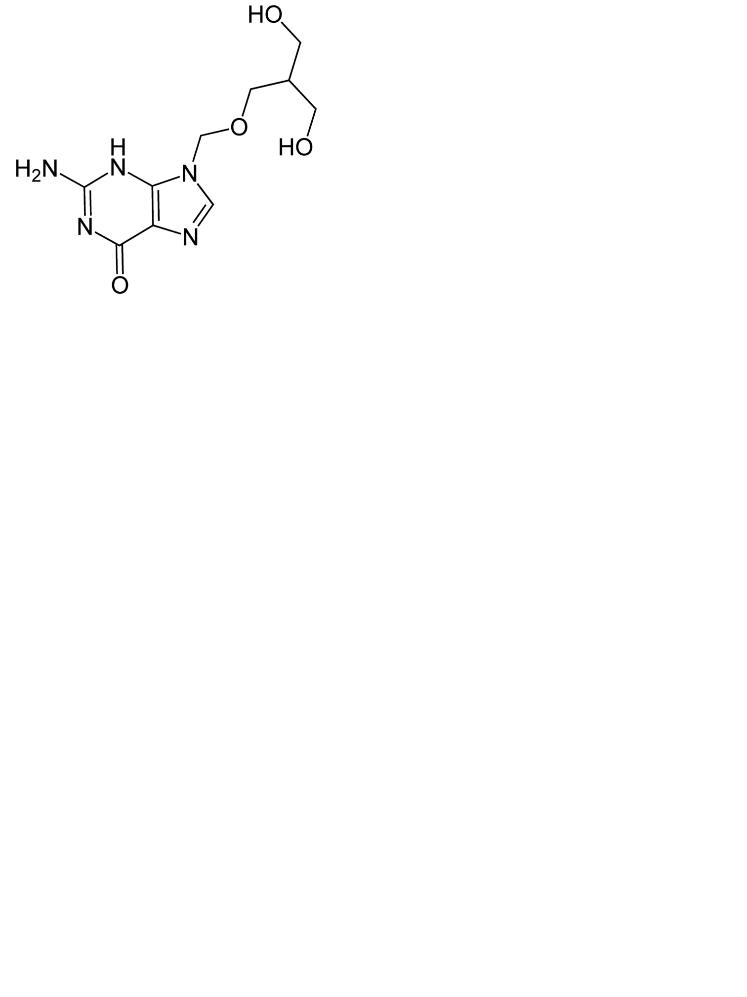
抗病毒药   Ganciclovir  
眼药水
制剂的稳定性 混合物稳定性 影响稳定性的因素 兼容性 引用文献 PDF
   化学式  

眼药水
兼容性   眼药水   兼容性 : Ganciclovir              
无数据

  Mentions Légales