Laatste update :
27/04/2026
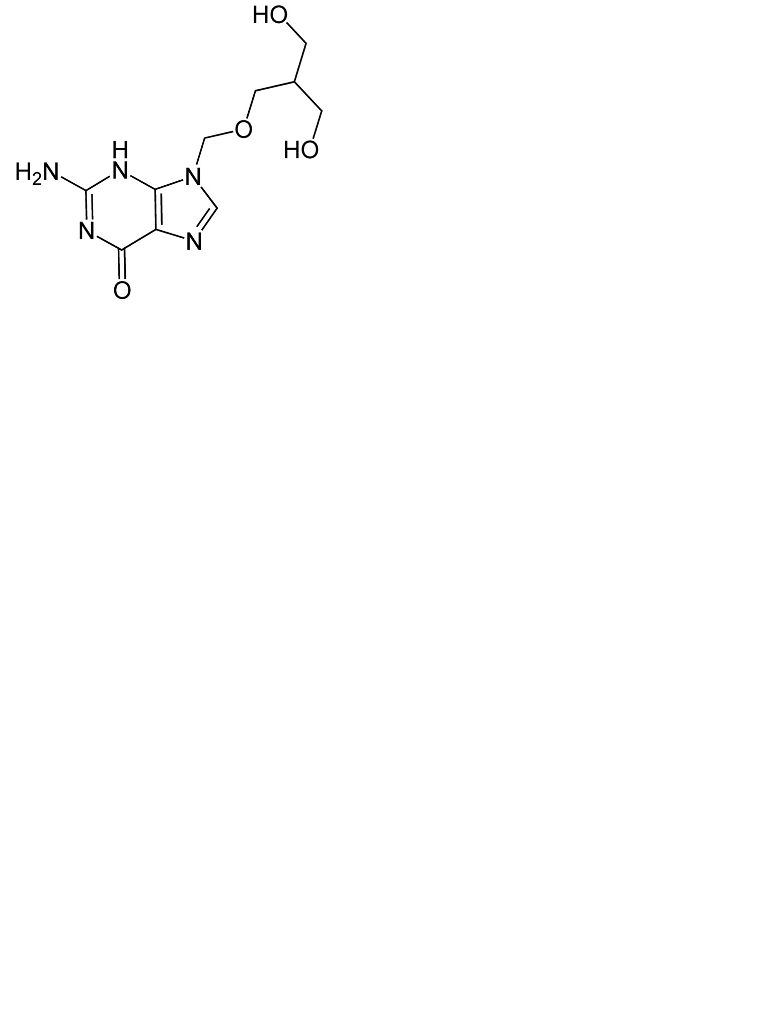
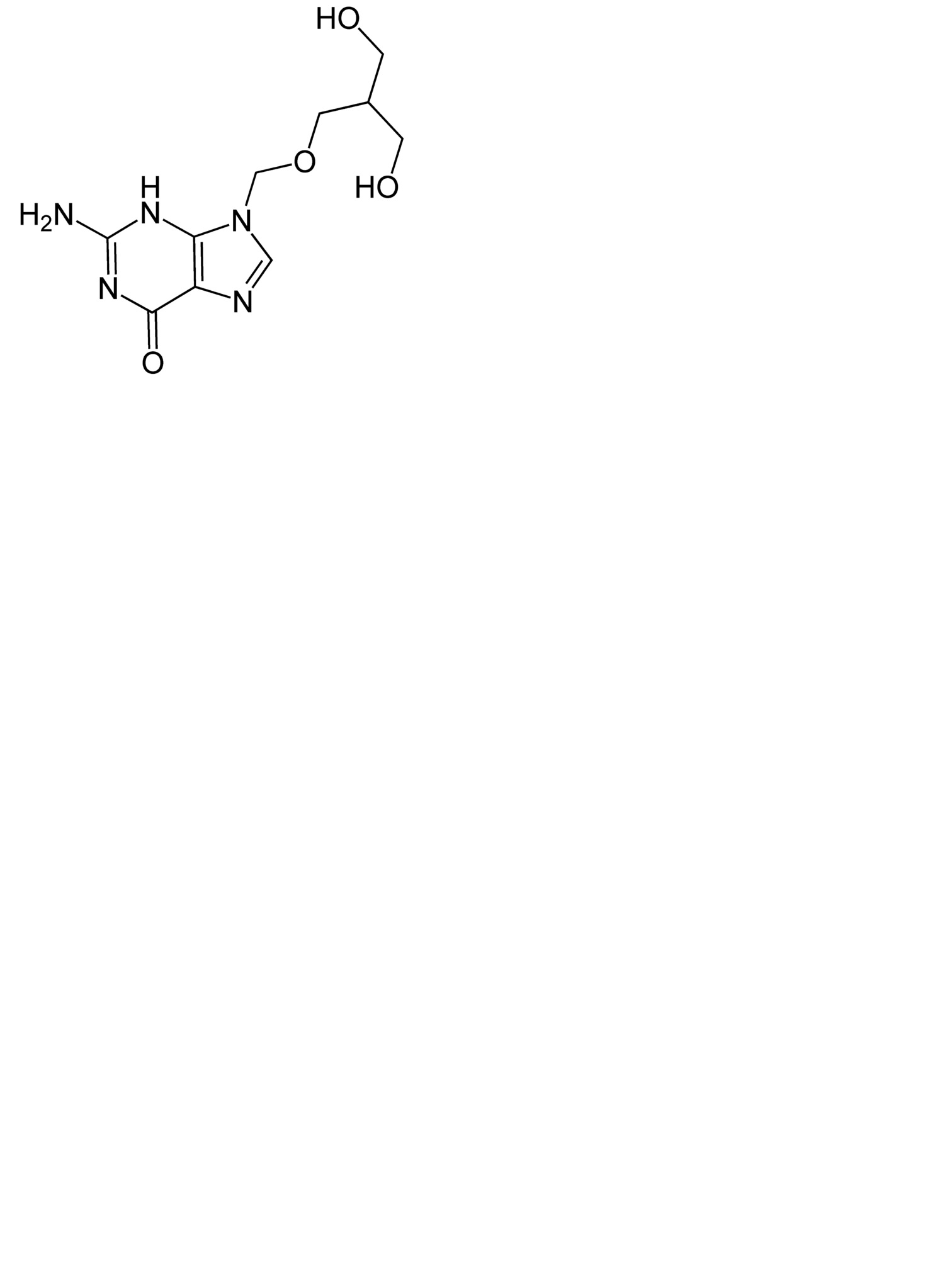
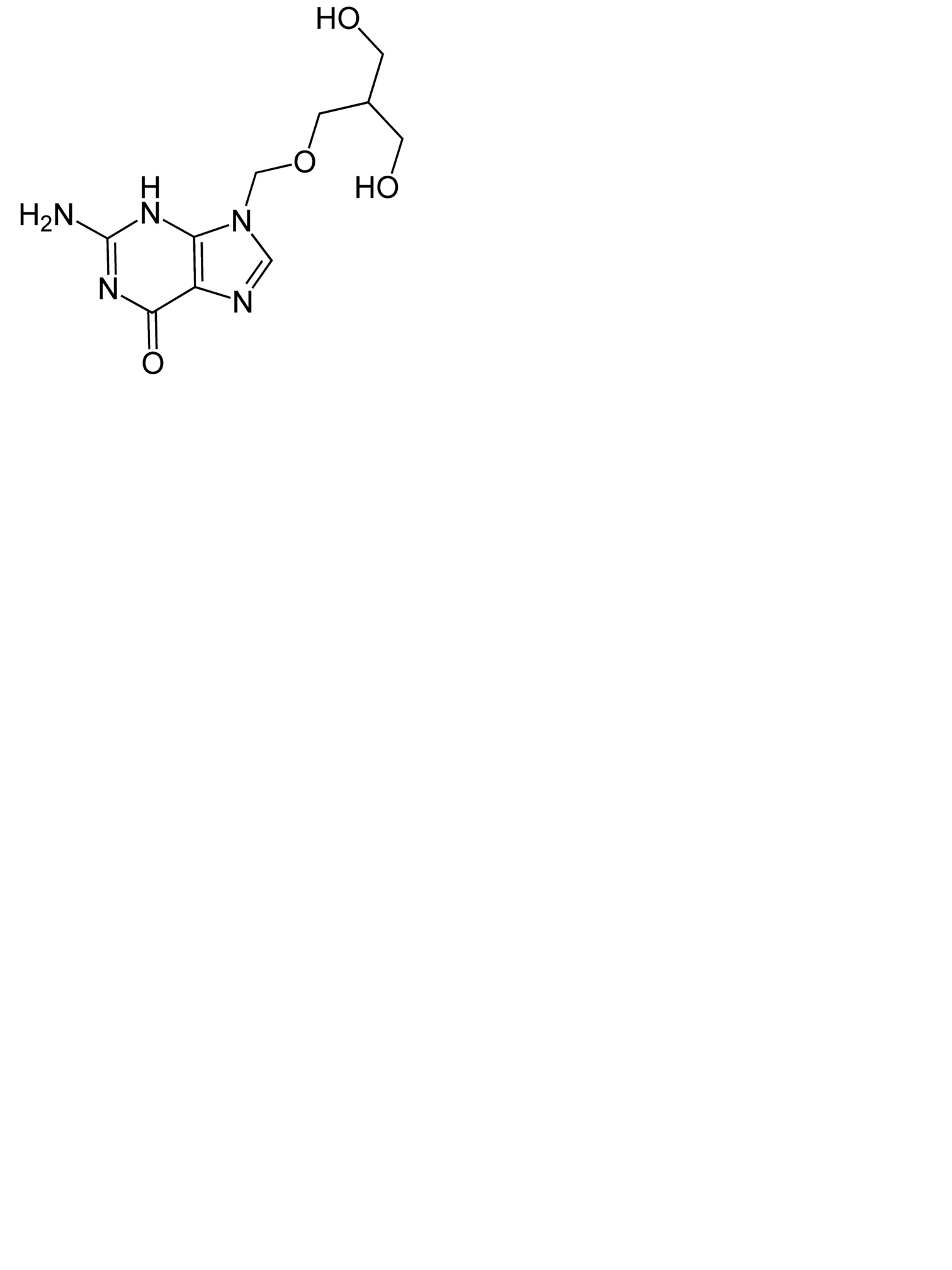
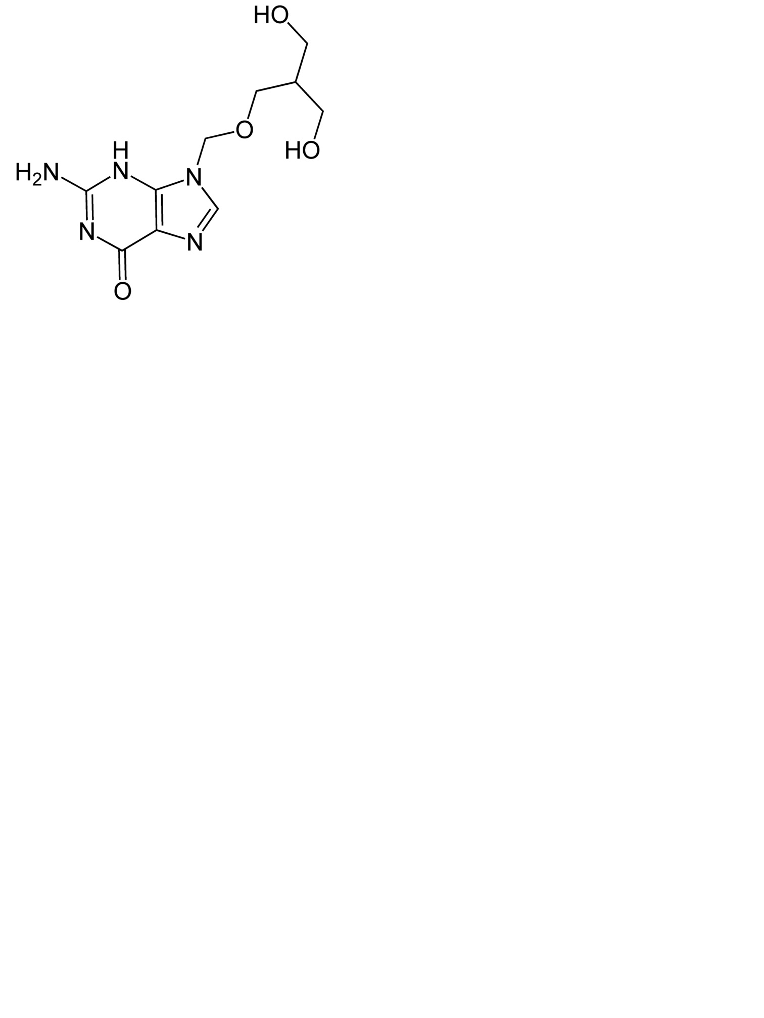
Antiviraal middel   Ganciclovir  
Oogwater
Stabiliteit van farmaceutische preparaten Stabiliteit in mengsels Factoren die de stabiliteit beïnvloeden Verenigbaarheden Literatuur pdf
   Molecuulstructuur  

Oogwater
Verenigbaarheden   Oogwater   Verenigbaarheden : Ganciclovir              
geen gegevens

  Mentions Légales