Poslední aktualizace :
27/04/2026
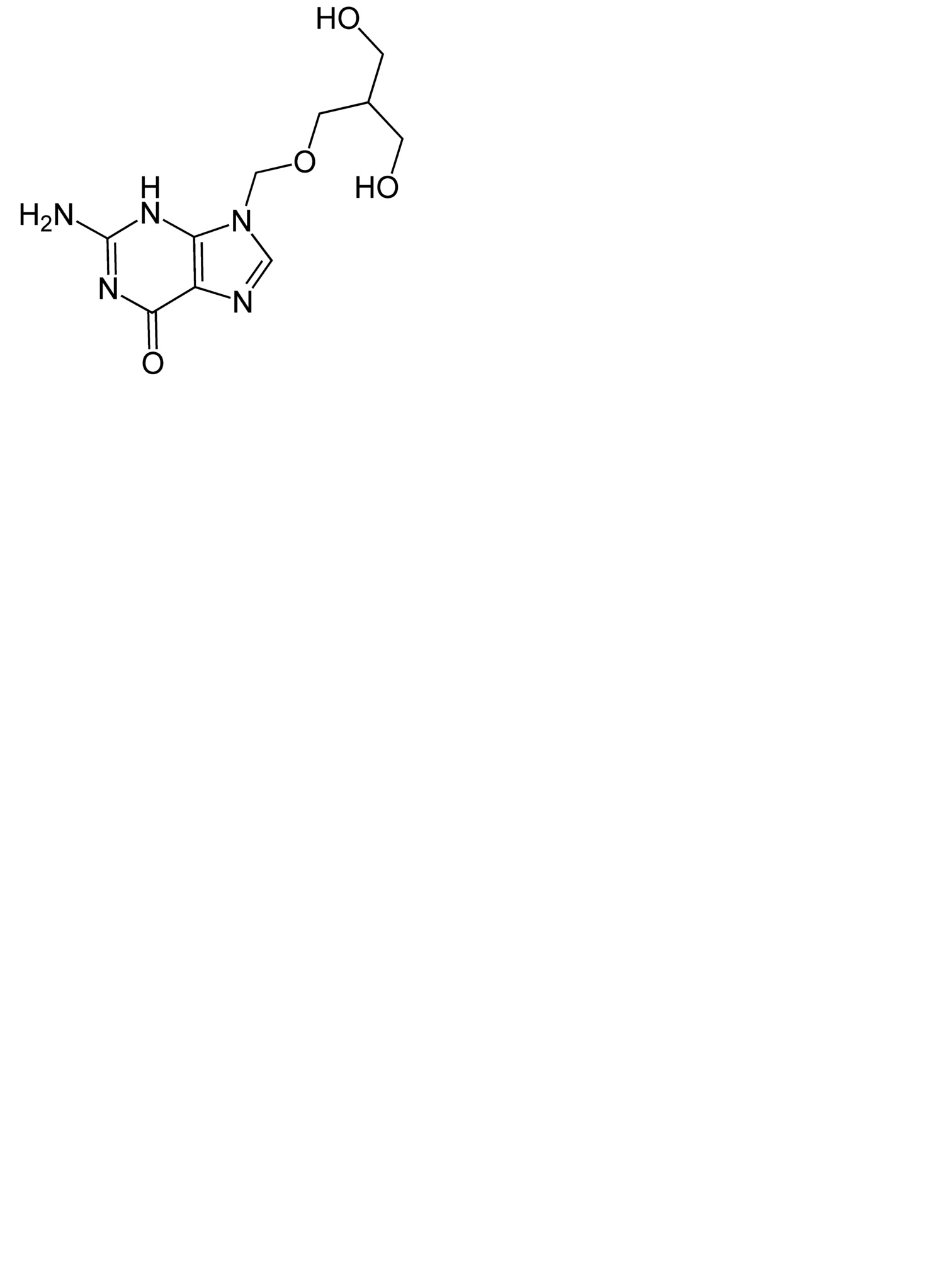
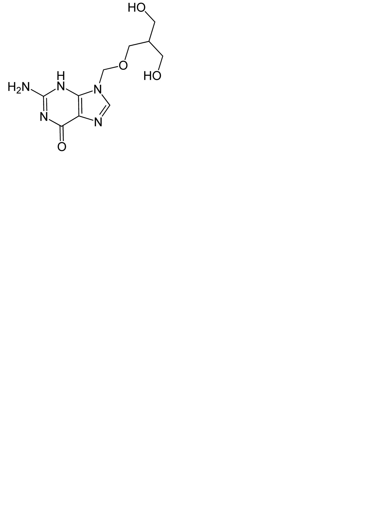
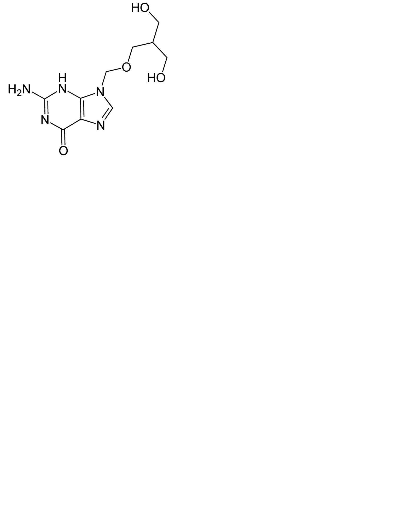
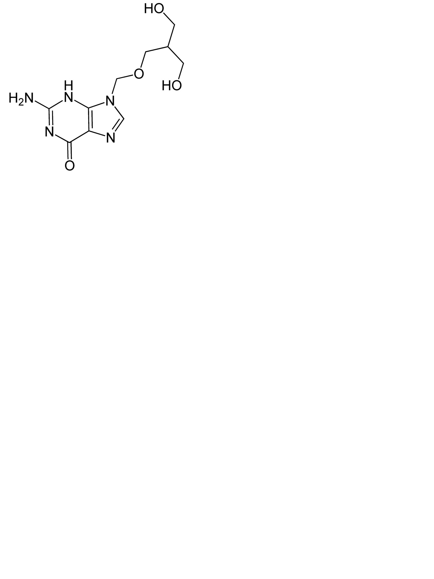
Priešvirusinis vaistas   Ganciclovir  
Akių lašai
Stabilumas farmacinių preparatų Mišinių stabilumas Stabilumą lemiantys veiksniai Suderinamumas Bibliografija pdf
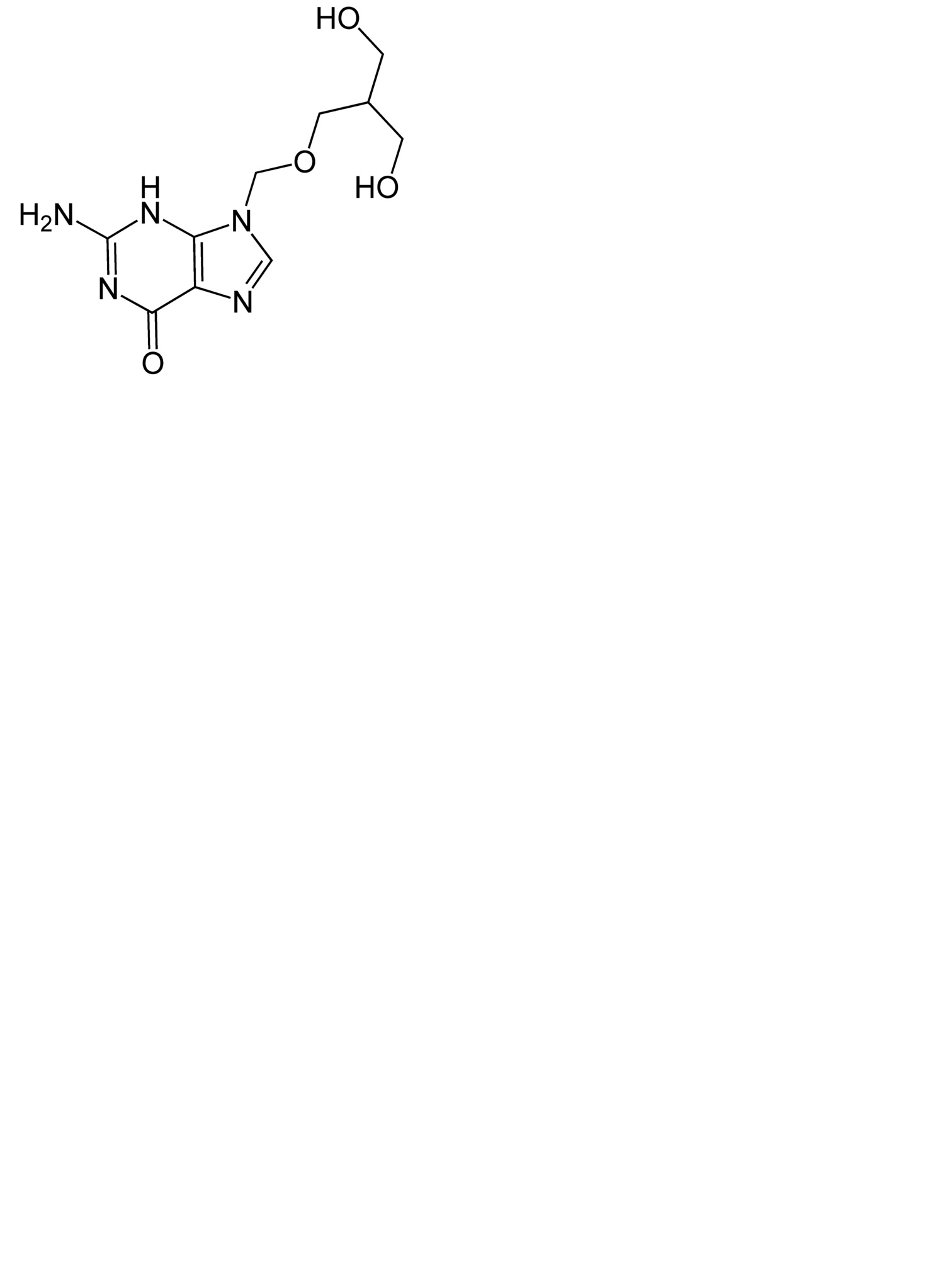
   Cheminė sandara  

Akių lašai
Suderinamumas   Akių lašai   Suderinamumas : Ganciclovir              
Nėra duomenų

  Mentions Légales