Последнее обновление :
27/04/2026
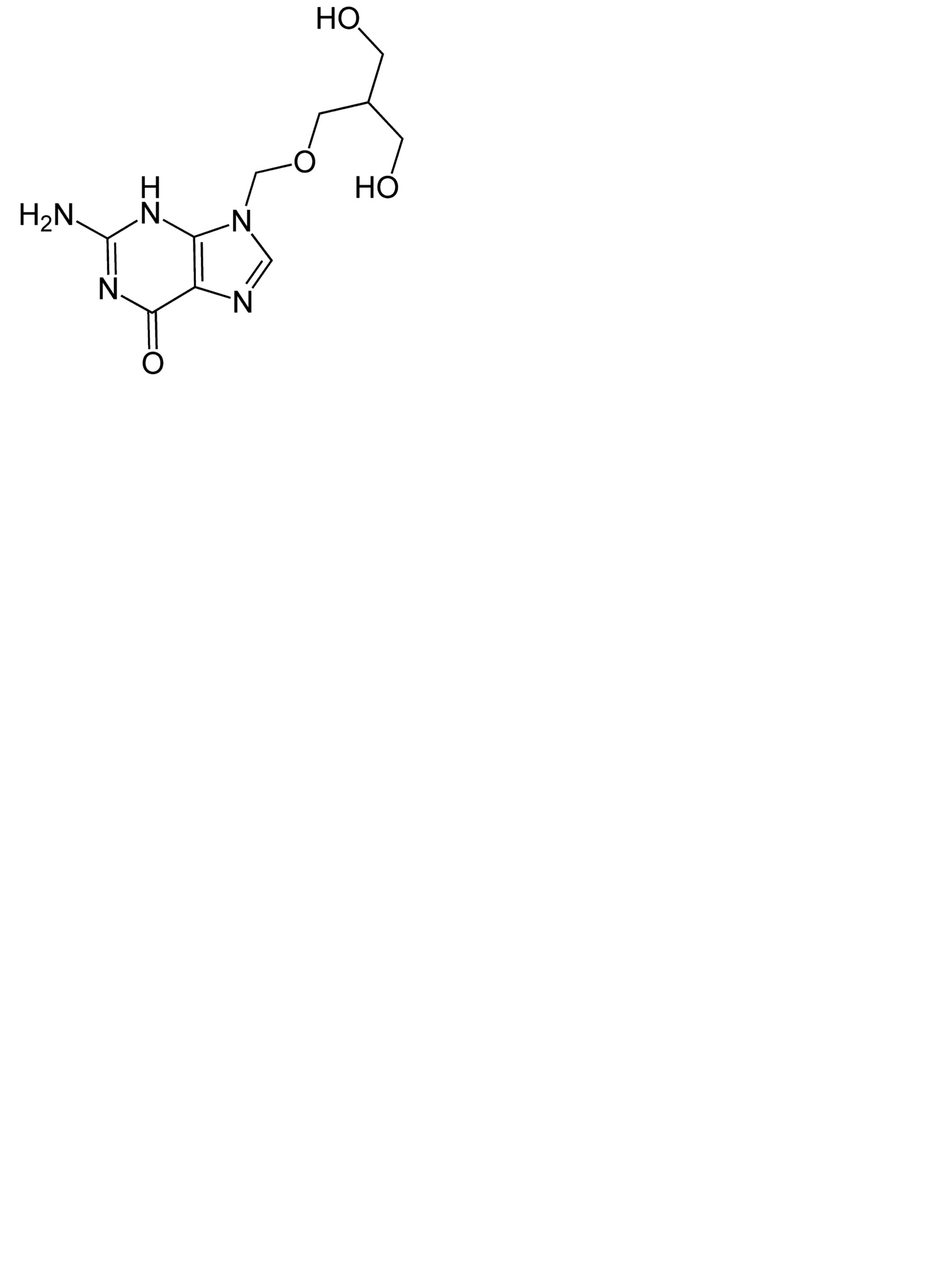
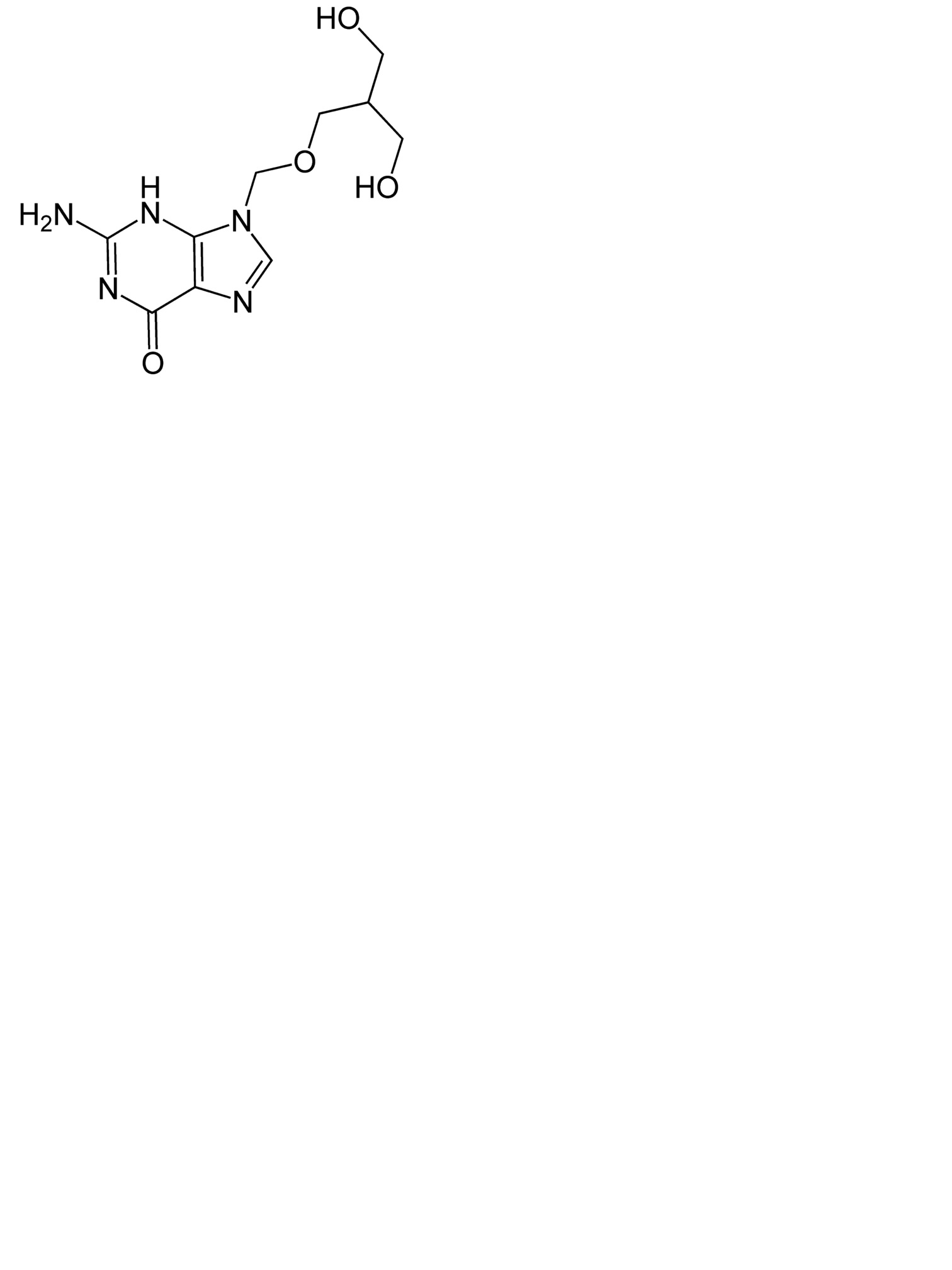
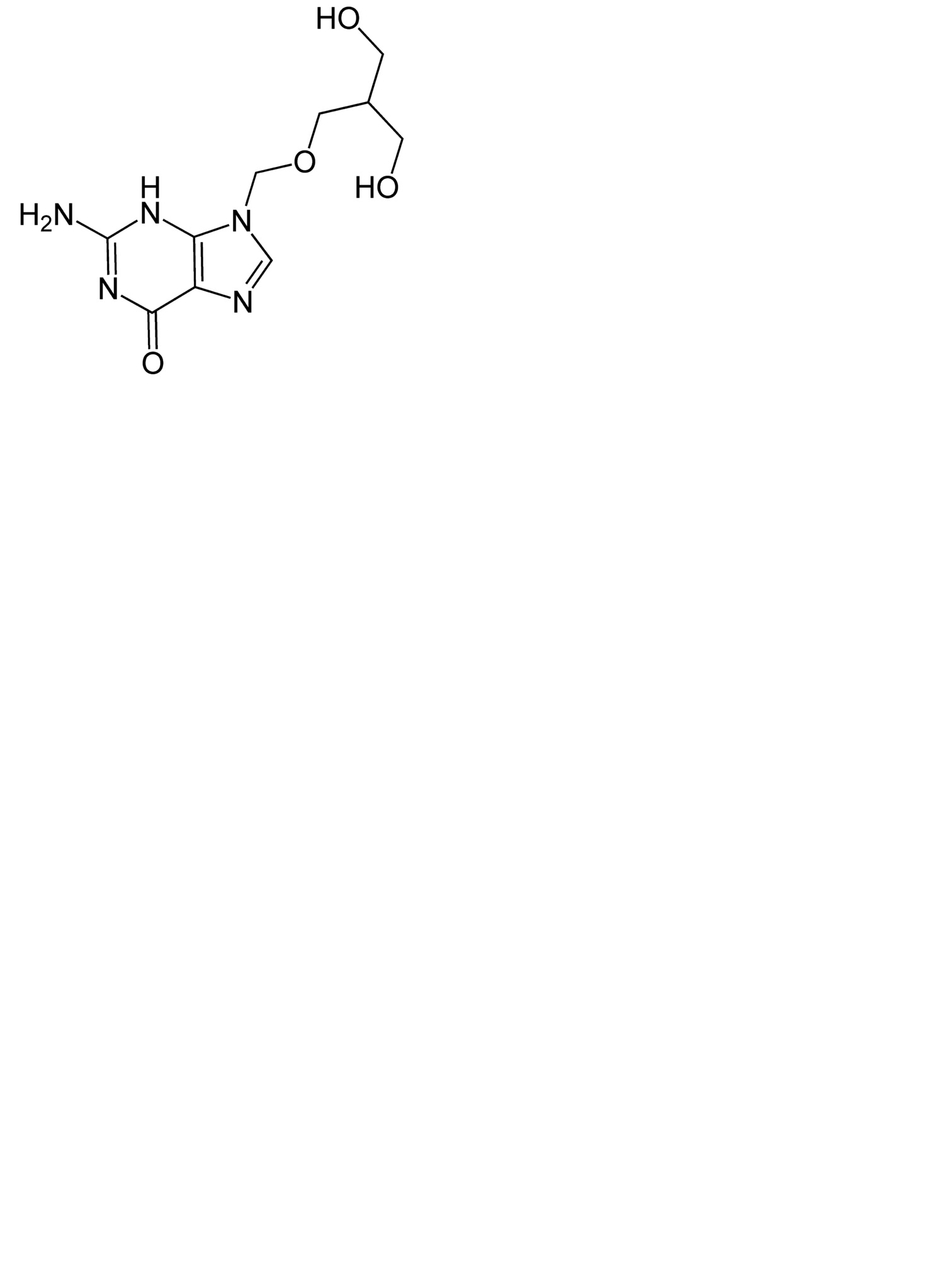
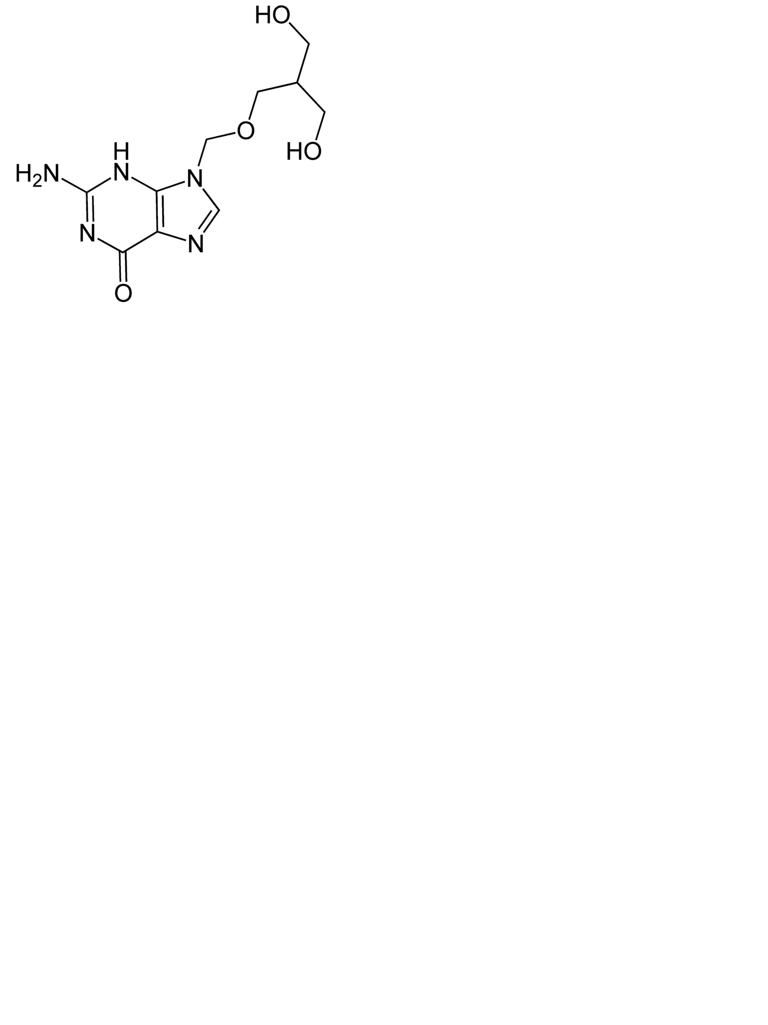
Противовирусное средство   Ganciclovir  
Глазные капли
Стабильность фармацевтических препаратов Стабильность смесей Факторы, которые влияют на стабильность Совместимость Библиография pdf
   Химическая структура  

Глазные капли
Совместимость   Глазные капли   Совместимость : Ganciclovir              
данных нет

  Mentions Légales