fermer
Ultimo aggiornamento :
08/12/2025
Infostab
Elenco delle molecole
Elenchi sommari
Cerca compatibilità
Tabella di compatibilità del sito Y
Bibliografia
Le squadre di ricerca
valistab
poster
Connessioni
sponsor
Autori
Manuale d’uso
Bollettino
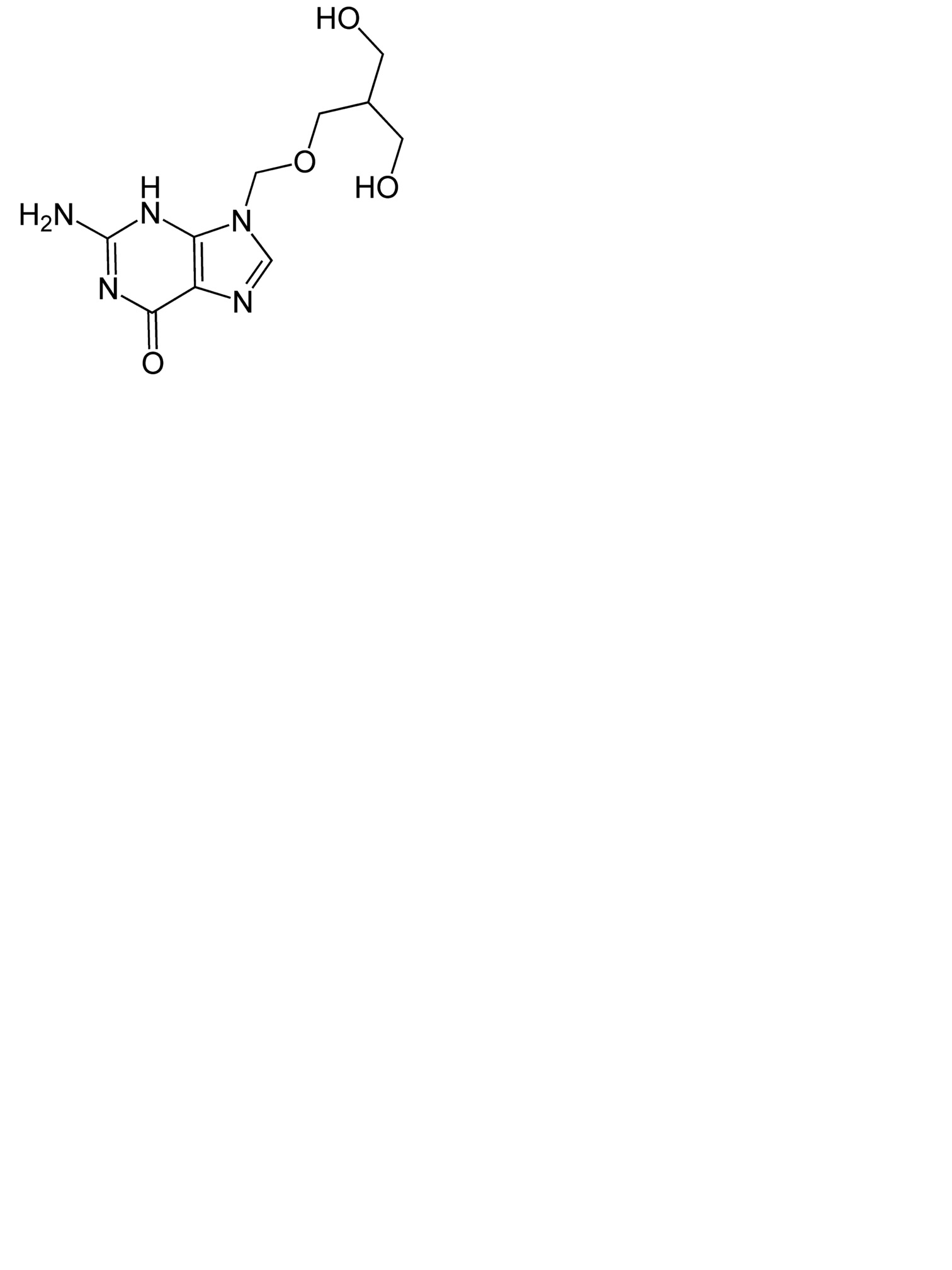
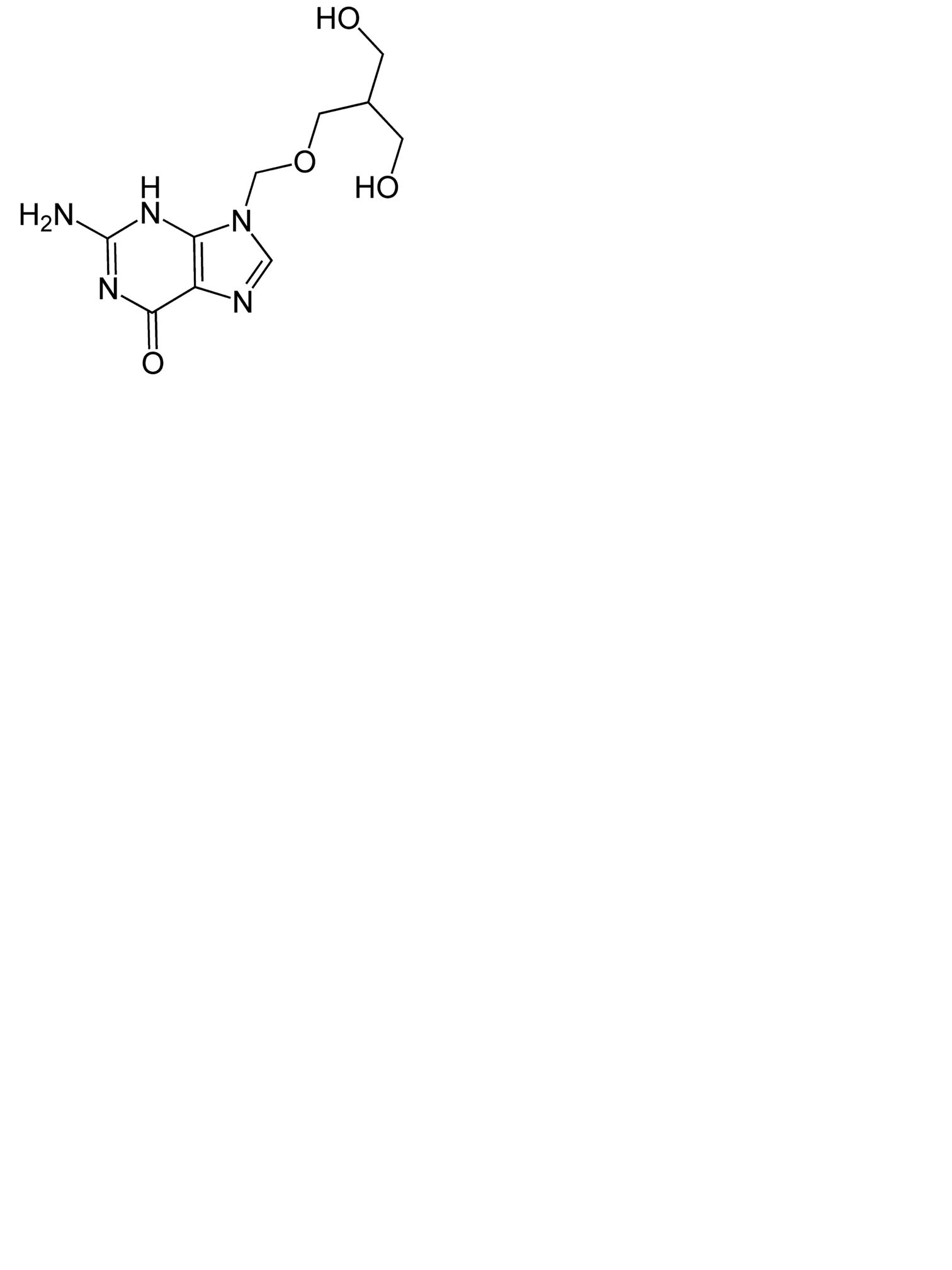
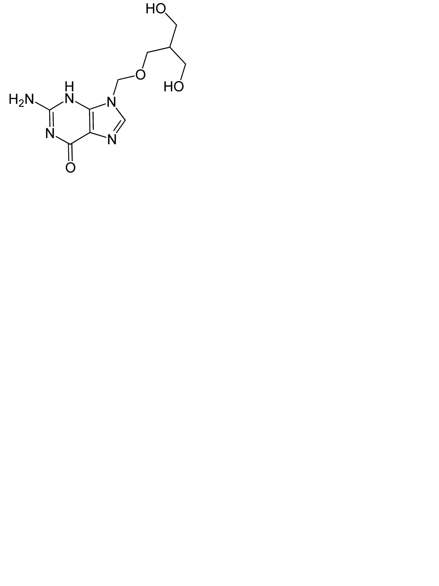
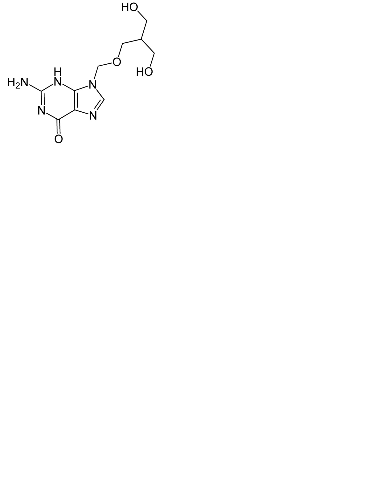
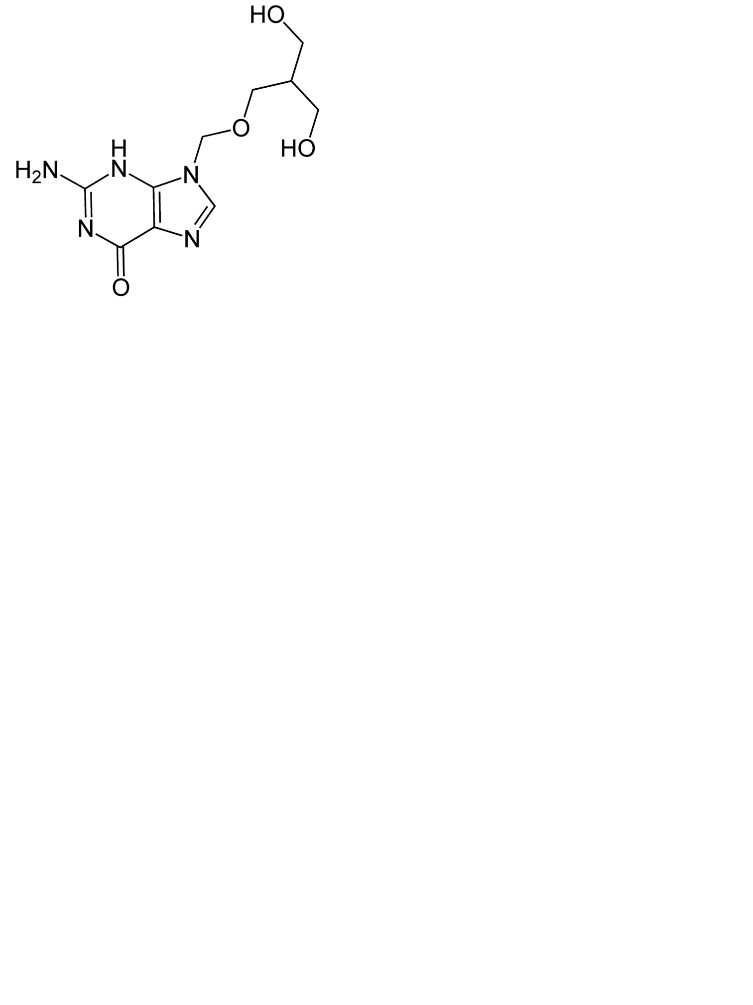
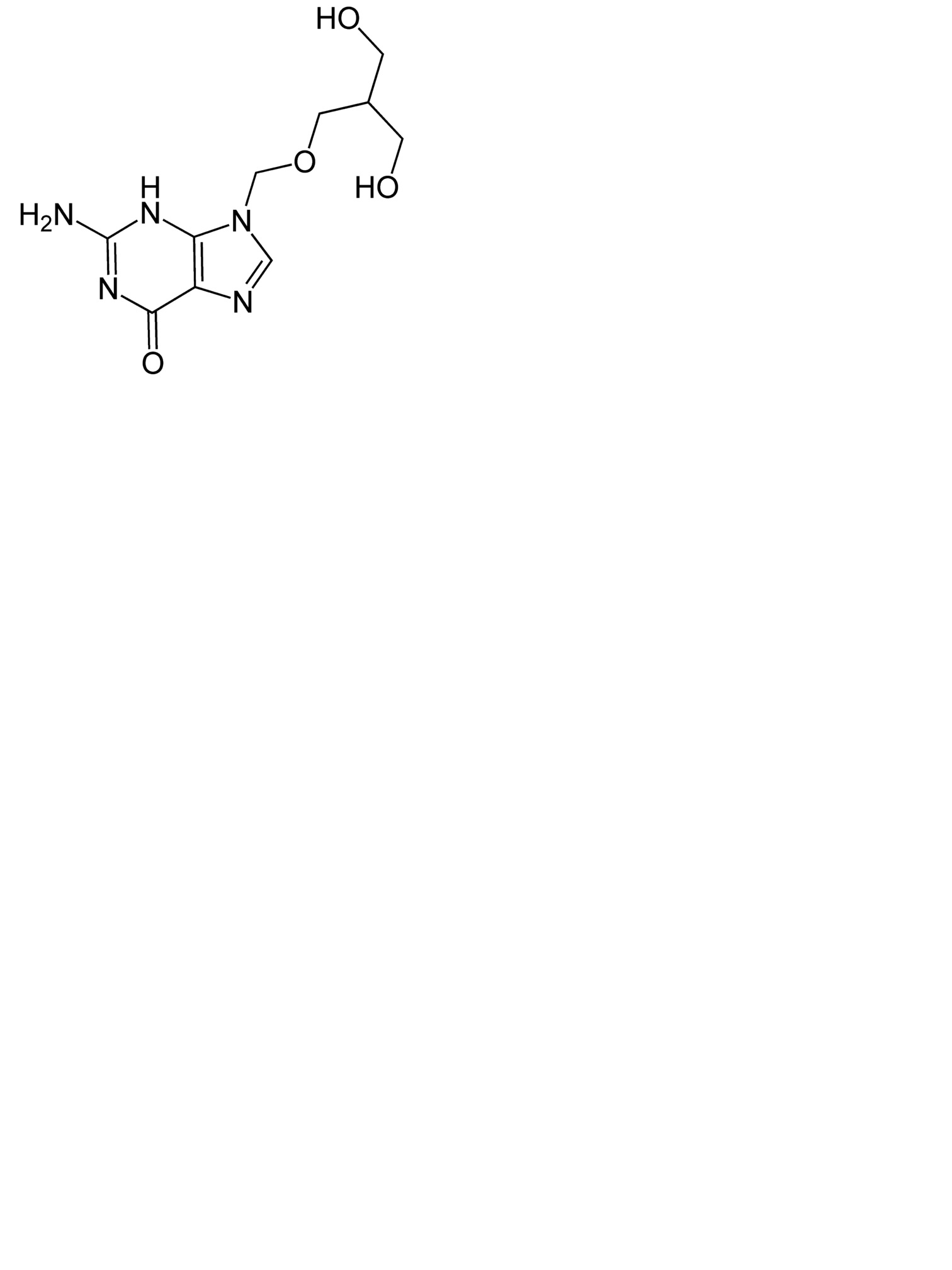
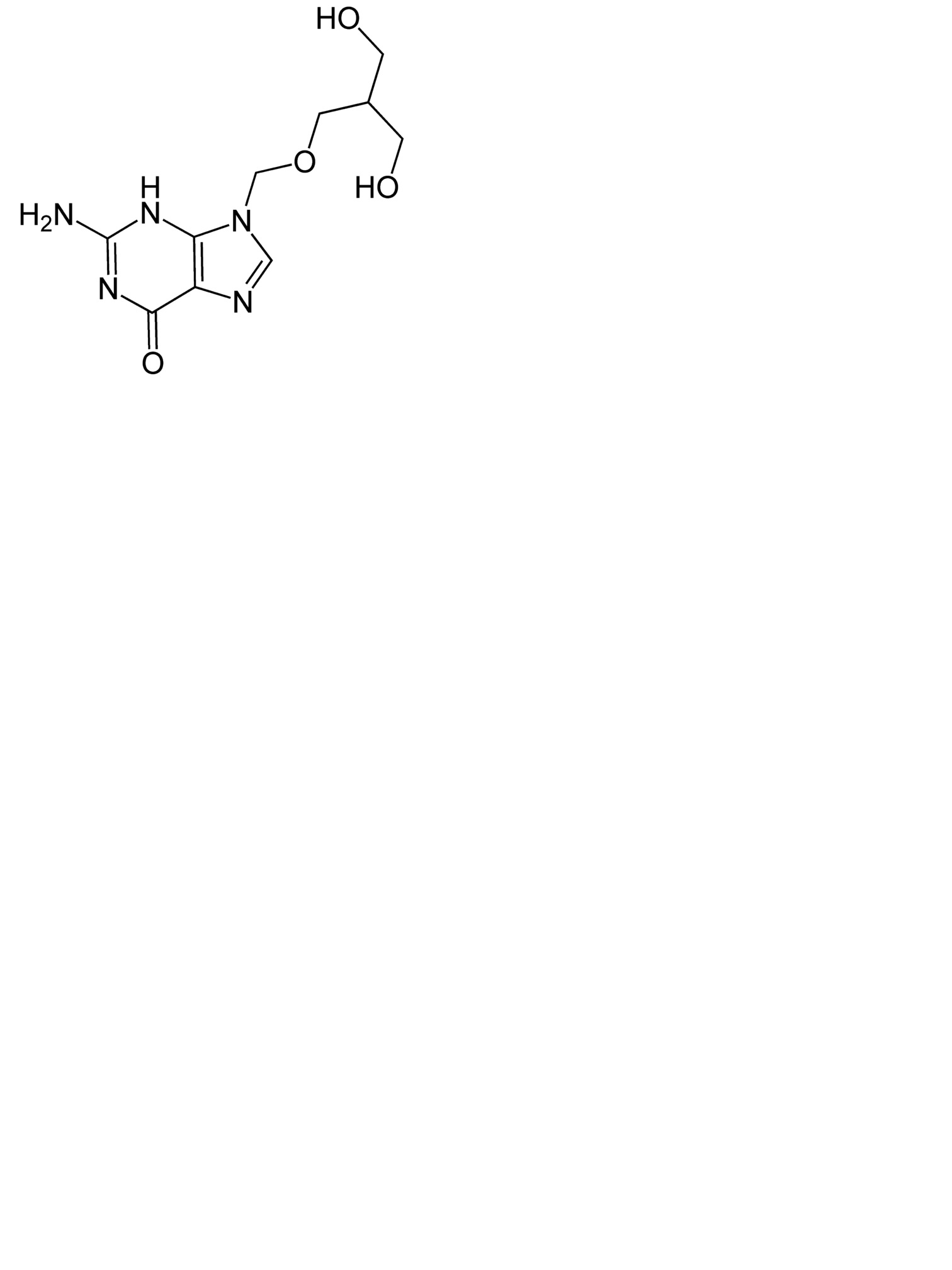
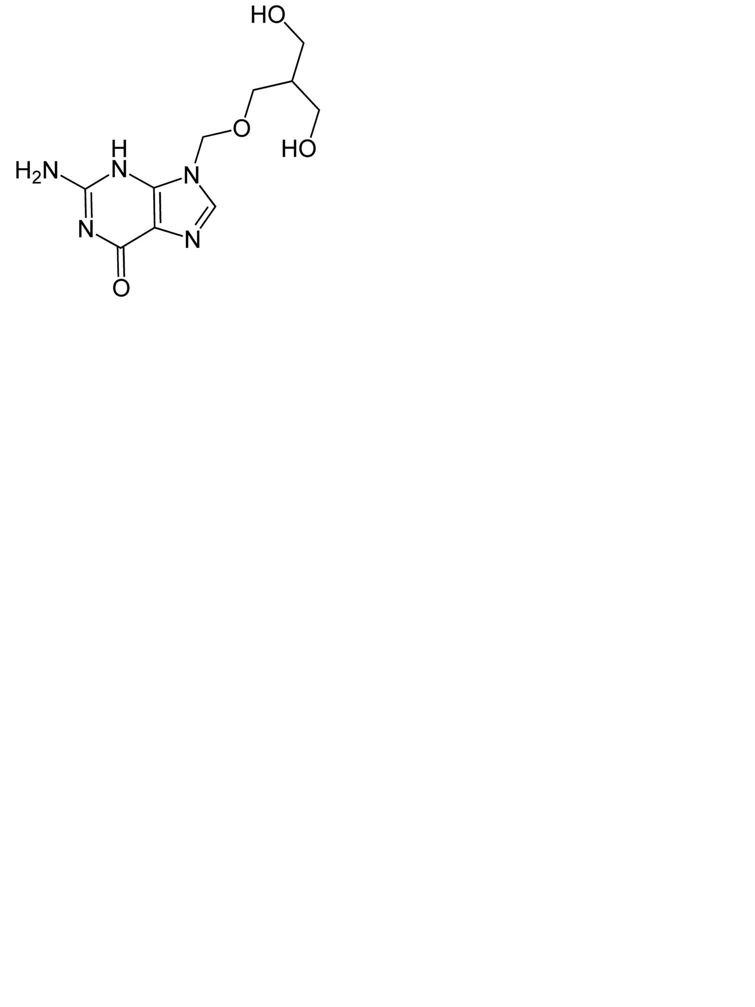
Ganciclovir
Struttura chimica
Compatibilità : Ganciclovir
Assenza di dati
Mentions Légales