آخر تحديث :
27/04/2026
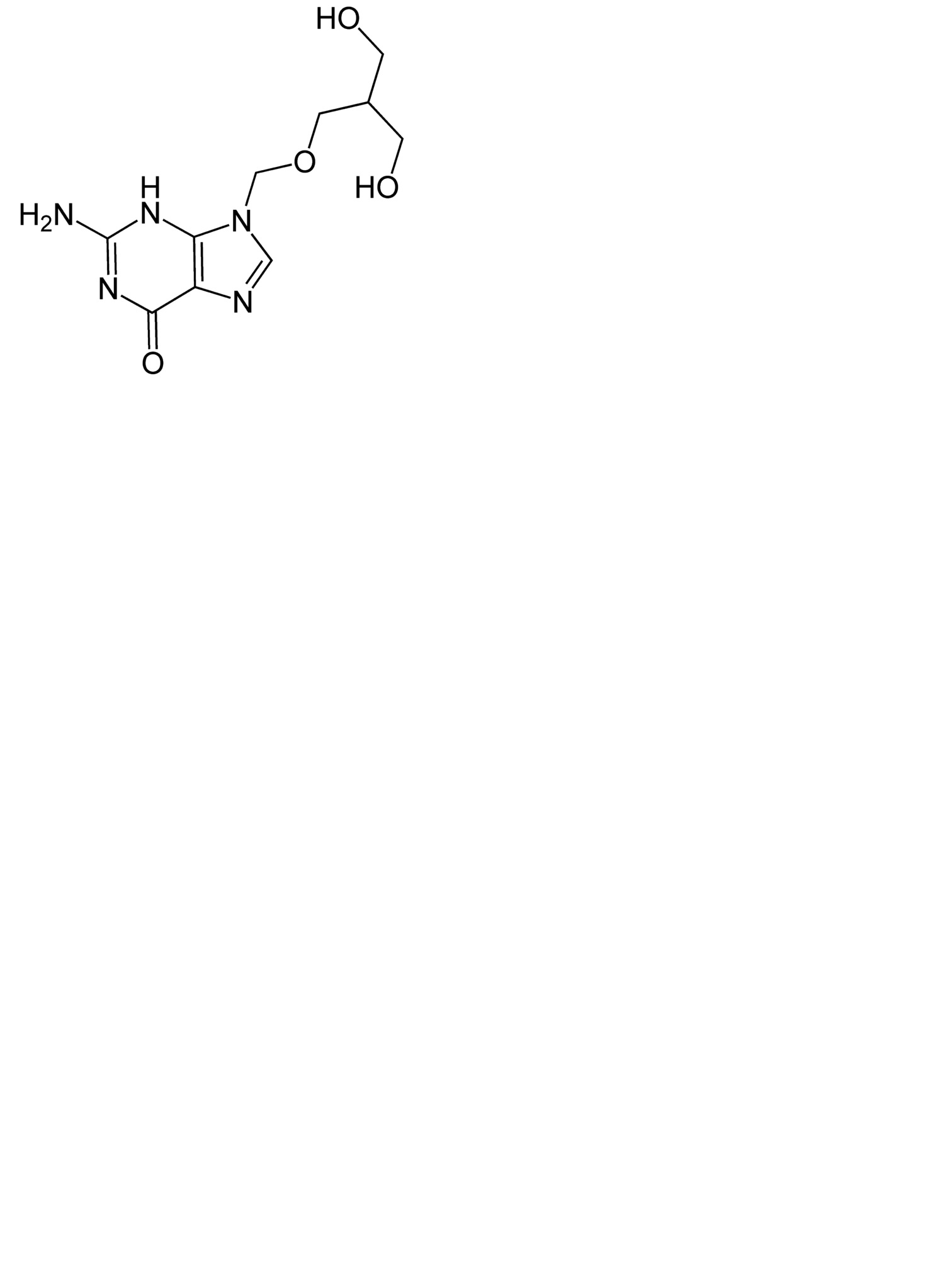
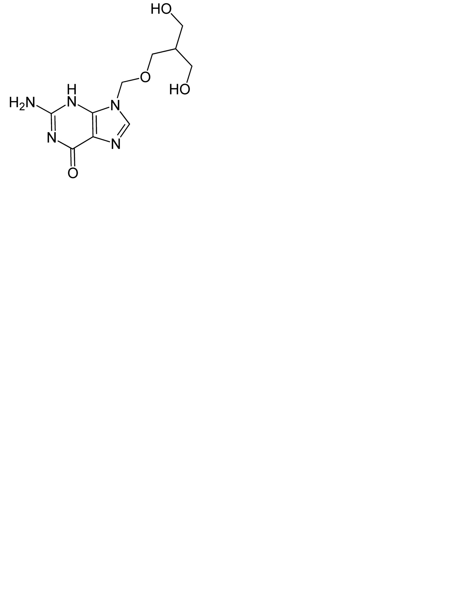
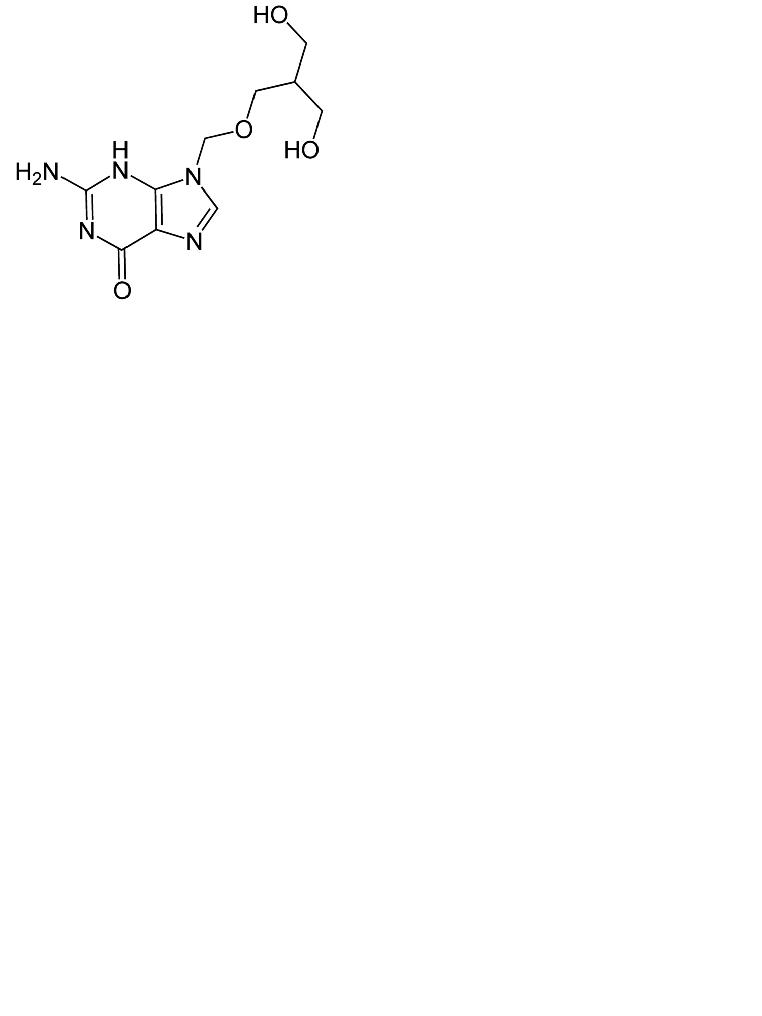
المضادة للفيروسات   Ganciclovir  
قطرات العين
استقرار المستحضرات الصيدلانية استقرار مخاليط العوامل التي تؤثر على الاستقرار التوافق مراجع pdf
   التركيب الكيميائي  

قطرات العين
التوافق   قطرات العين   التوافق : Ganciclovir              
لا توجد بيانات

  Mentions Légales