Pēdējā atjaunošana :
27/04/2026
Pretvīrusu līdzeklis   Ganciclovir  
Acu pilieni
Stabilitāte farmaceitisko preparātu Maisījuma stabilitāte Stabilitāti ietekmējoši faktori Saderība Literatūras saraksts pdf
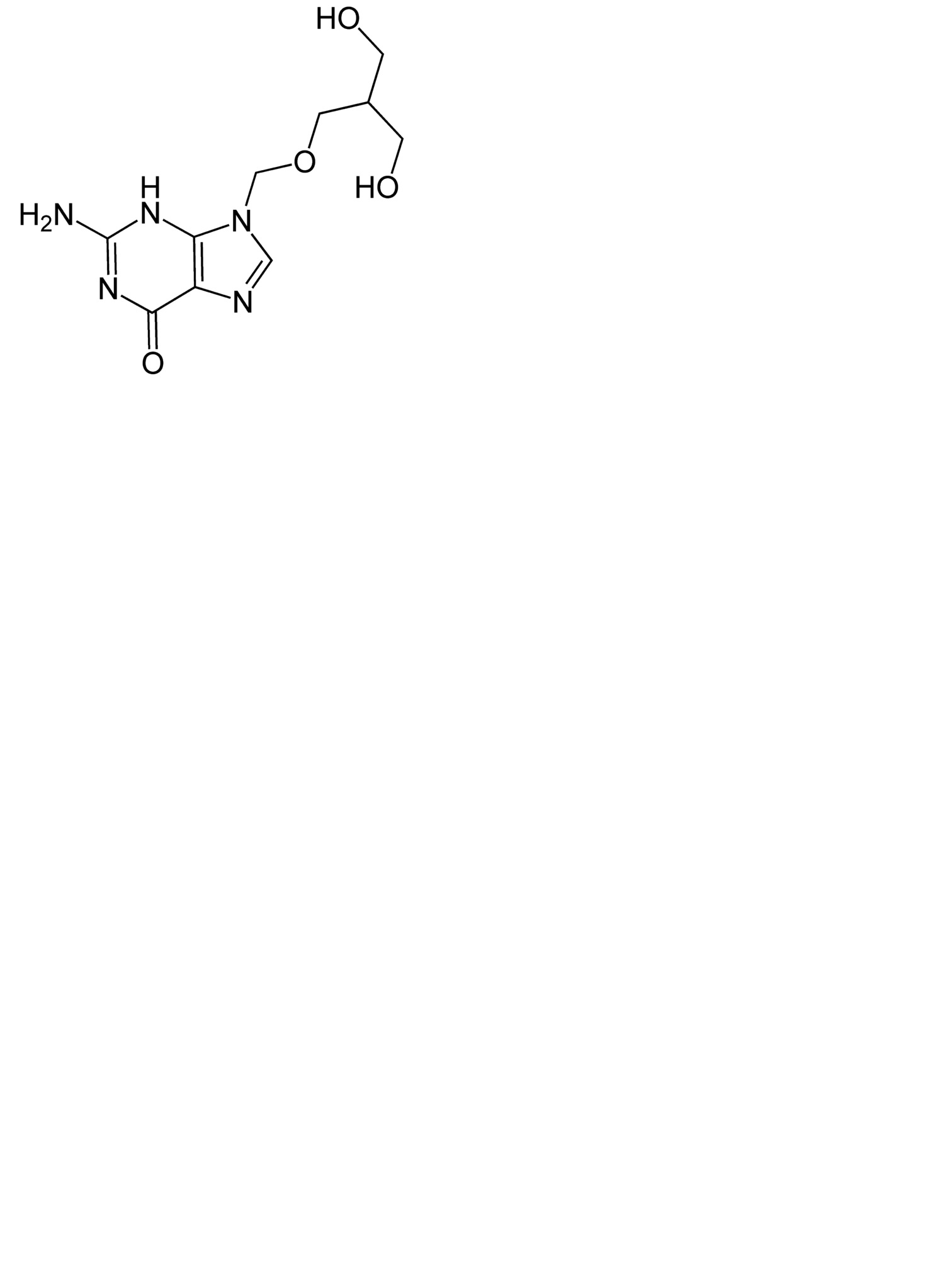
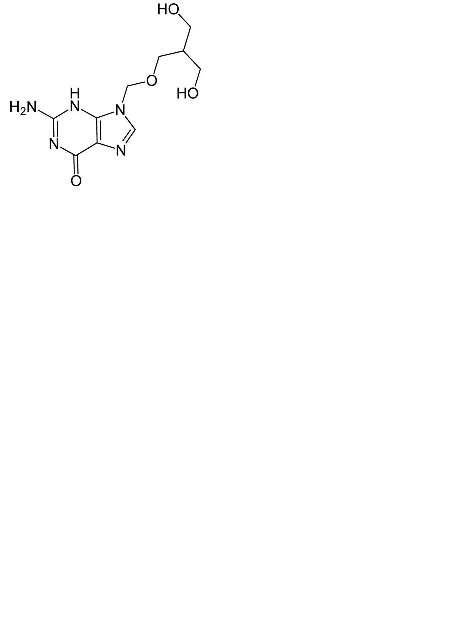
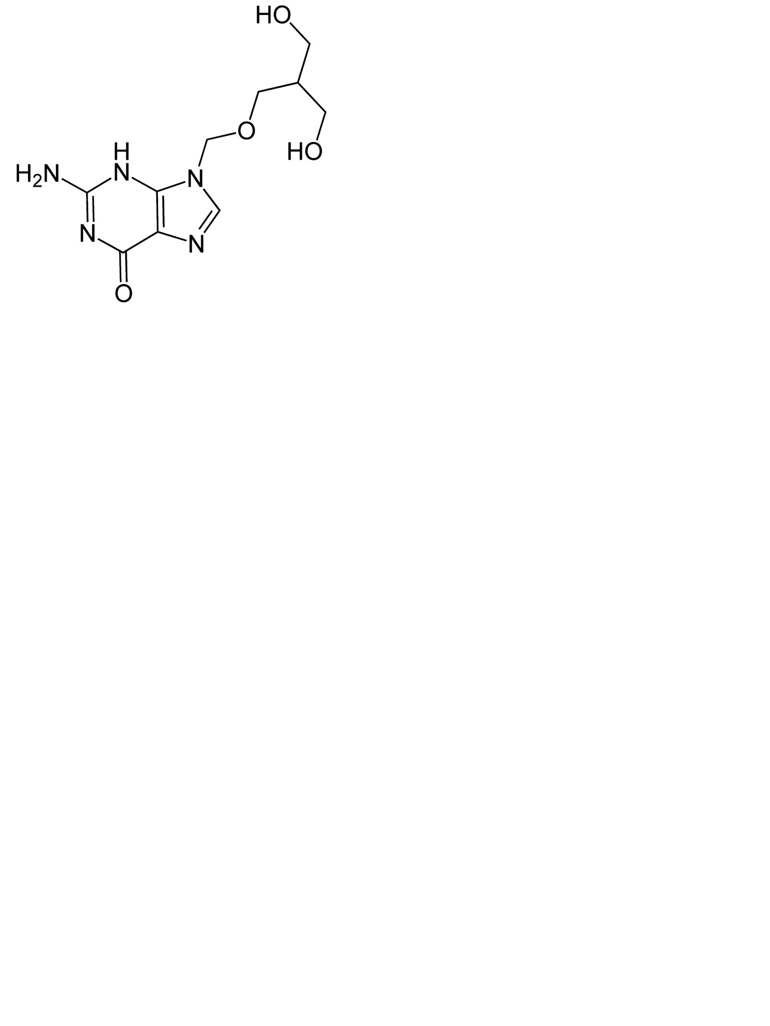
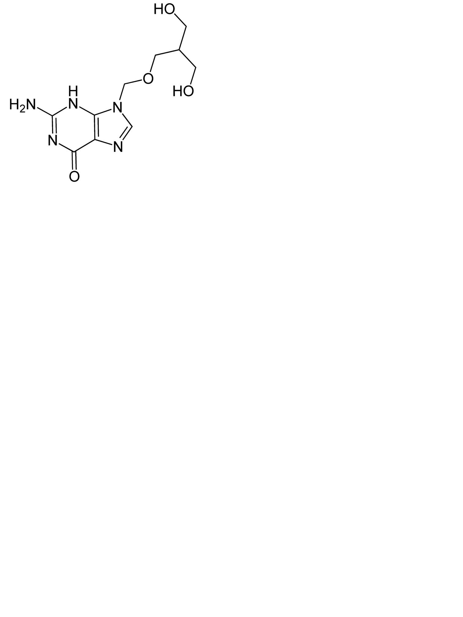
   Ķīmiskā uzbūve   

Acu pilieni
Saderība   Acu pilieni   Saderība : Ganciclovir              
Nav datu

  Mentions Légales