Cập nhật lần cuối :
27/01/2026
thuốc trị ung thư   Cyclophosphamide  
Viên nang
Dạng tiêm Dung dịch uống
Tính ổn định của các chế phẩm Độ ổn định khi trộn lẫn Những yếu tố ảnh hưởng đến độ ổn định Khả năng tương thích Tài liệu tham khảo Pdf
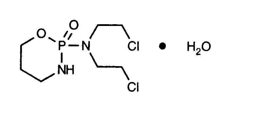
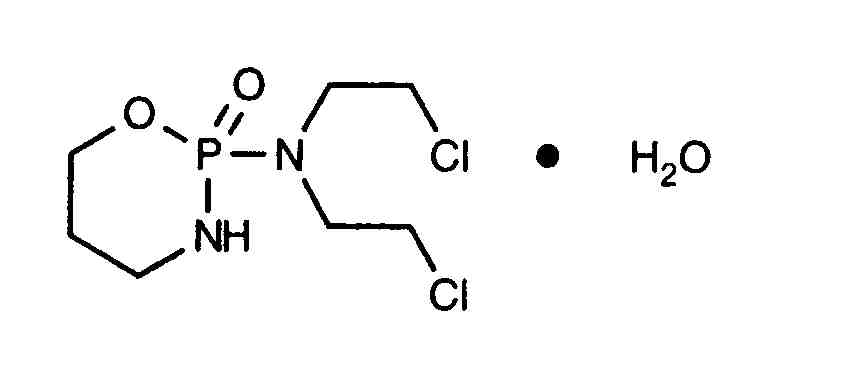
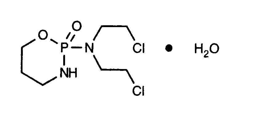
   Cấu trúc hóa học  

Viên nang
Độ ổn định khi trộn lẫn   Viên nang   Độ ổn định khi trộn lẫn : Cyclophosphamide     
Không có dữ liệu

  Mentions Légales