Последно актуализиране :
27/01/2026
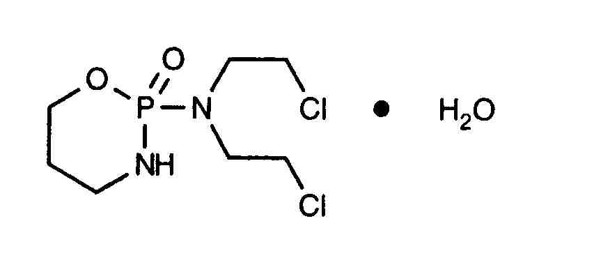
противораково лекарство   Cyclophosphamide  
Капсула
Инжекция/Инжекционен Орален разтвор
Стабилност на лекарствени препарати Стабилност на смеси Фактори, повлияващи стабилността Съвместимост Библиография Pdf
   Химична структура  

Капсула
Стабилност на смеси   Капсула   Стабилност на смеси : Cyclophosphamide     
Няма данни

  Mentions Légales