Останнє оновлення :
03/03/2026
Протипухлинний препарат   Cyclophosphamide  
капсула
ін'єкція Розчин для перорального застосування
Стабільність фармацевтичних препаратів Стійкість сумішей Фактори, що впливають на стабільність Сумісність Список літератури pdf
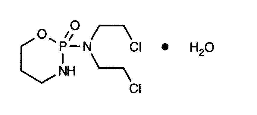
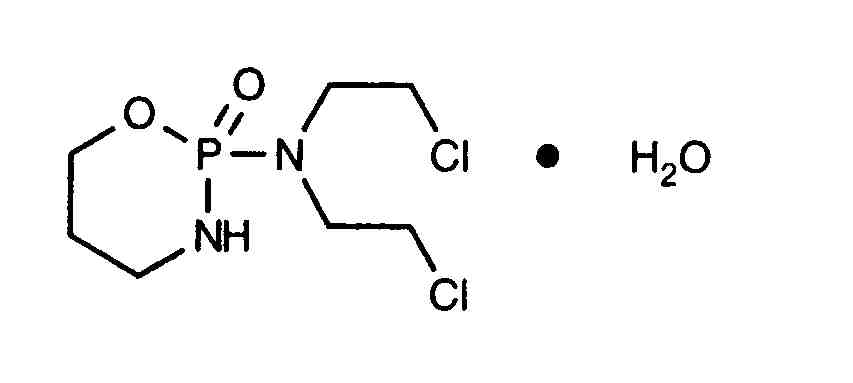
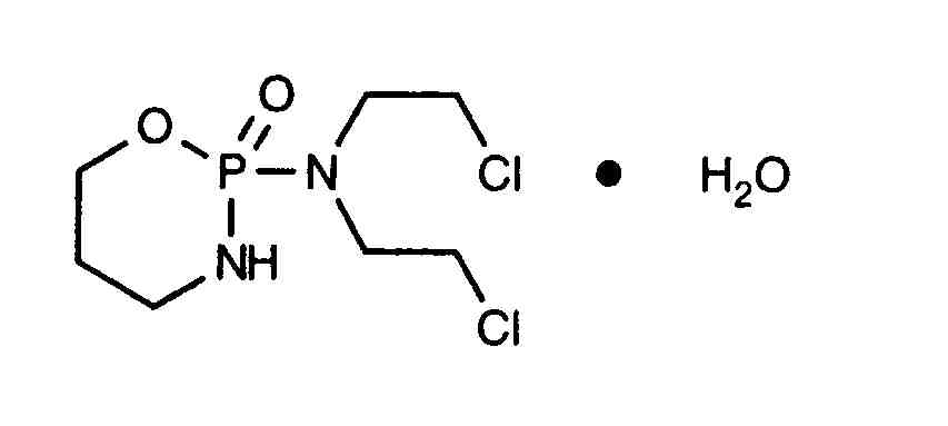
   Хімічна структура  

капсула

Фактори, що впливають на стабільність   капсула   Фактори, що впливають на стабільність : Cyclophosphamide        
7 / 5 000 Résultats de traduction Немає даних

  Mentions Légales