Posledná aktualizácia :
27/01/2026
Protinádorová liečba   Cyclophosphamide  
Kapsula
Injekcia Perorálny roztok
Stabilita farmaceutických prípravkov Stabilita v zmesiach Faktory ovplyvňujúce stabilitu Kompatibility Odkazy na literatúru PDF
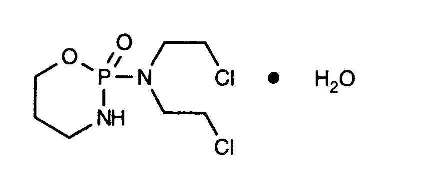
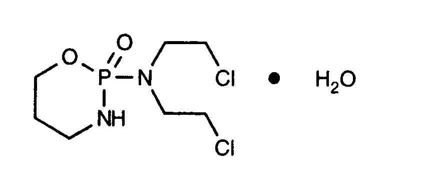
   Chemický vzorec  

Kapsula
Stabilita v zmesiach   Kapsula   Stabilita v zmesiach : Cyclophosphamide     
žiadne údaje

  Mentions Légales