Laatste update :
27/01/2026
geneesmiddel tegen kanker   Cyclophosphamide  
Capsule
injecteerbaar geneesmiddel Orale Oplossing
Stabiliteit van farmaceutische preparaten Stabiliteit in mengsels Factoren die de stabiliteit beïnvloeden Verenigbaarheden Literatuur pdf
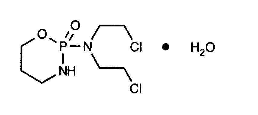
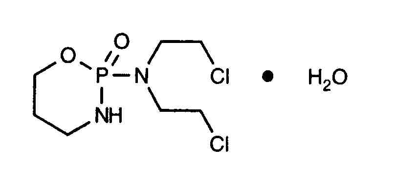
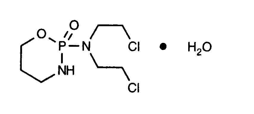
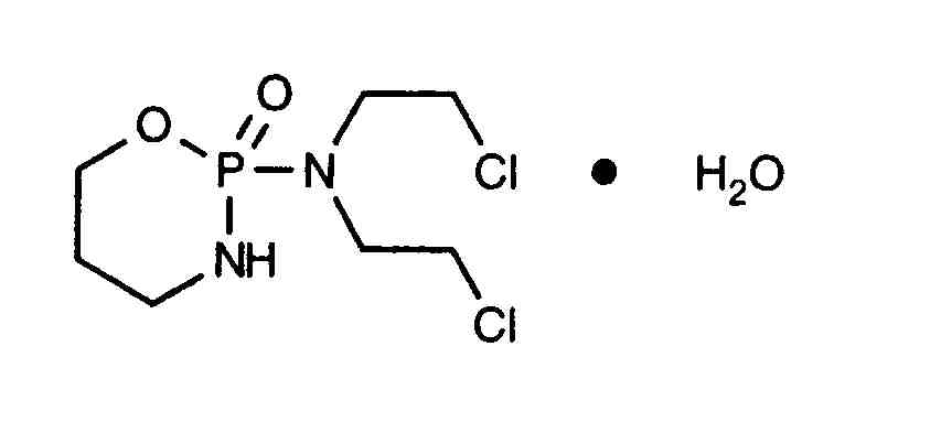
   Molecuulstructuur  

Capsule
Stabiliteit in mengsels   Capsule   Stabiliteit in mengsels : Cyclophosphamide     
geen gegevens

  Mentions Légales