Letztes “update” :
27/01/2026
Antikrebsmittel   Cyclophosphamide  
Kapsel (Singular !)
Injektion Lösung zum Einnehmen
Stabilität von pharmazeutischen Präparaten Gemengestabilität Stabilitätbeeinflussende Faktoren Kompatibilitäten Literaturverzeichnis pdf
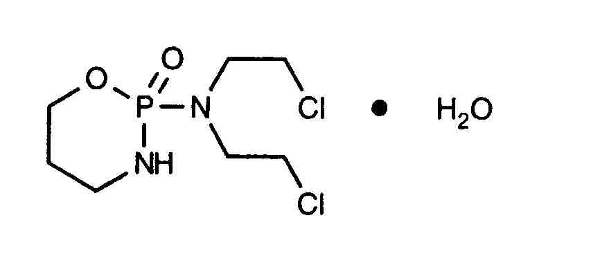
   Chemische Struktur  

Kapsel (Singular !)
Gemengestabilität   Kapsel (Singular !)   Gemengestabilität : Cyclophosphamide     
Keine Daten

  Mentions Légales