Ultimo aggiornamento :
27/01/2026
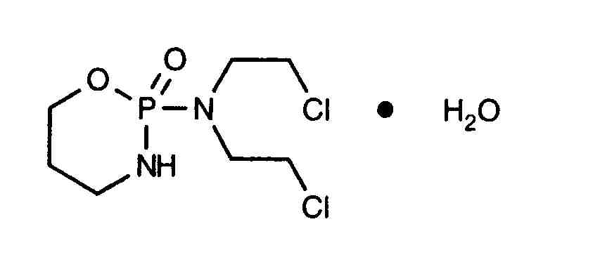
farmaco contro il cancro   Cyclophosphamide  
Capsula
Iniezione Soluzione orale
Stabilità dei preparati farmaceutici Stabilità in miscela Fattori che influenzano la stabilità Compatibilità Bibliografia pdf
   Struttura chimica  

Capsula
Stabilità in miscela   Capsula   Stabilità in miscela : Cyclophosphamide     
Assenza di dati

  Mentions Légales