Ostatnia aktualizacja :
27/01/2026
Lek cytostatyk   Cyclophosphamide  
Kapsułka
Injekcje Roztwór doustny
Stabilność preparatów farmaceutycznych Trwałość w mieszaninie Czynnik wpływający na trwałość Zgodność Bibliografia pdf
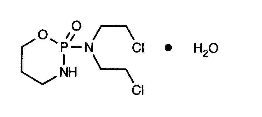
   Struktura chemiczna  

Kapsułka
Trwałość w mieszaninie   Kapsułka   Trwałość w mieszaninie : Cyclophosphamide     
Brak danych

  Mentions Légales