最新更新 :
27/01/2026
抗癌藥物   Cyclophosphamide  
胶囊
口服剂 注射液
制剂的稳定性 混合物稳定性 影响稳定性的因素 兼容性 引用文献 PDF
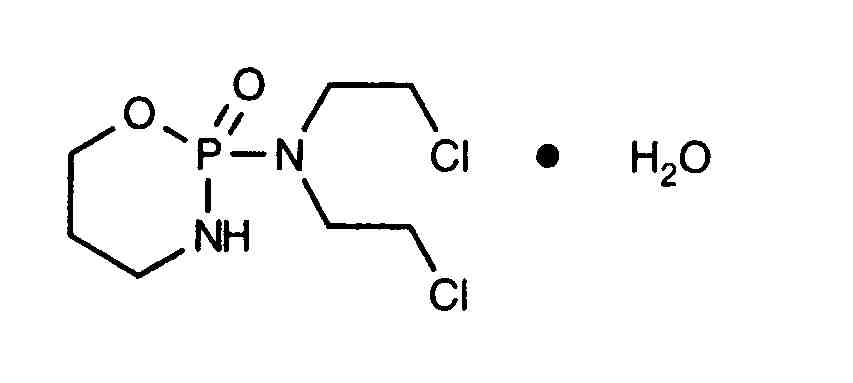
   化学式  

胶囊
混合物稳定性   胶囊   混合物稳定性 : Cyclophosphamide     
无数据

  Mentions Légales