Last update :
27/01/2026
Anticancer drug   Cyclophosphamide  
Capsule
injection Oral solution
Stability of pharmaceutical preparations Stability of mixtures Factors which affect stability Compatibility References pdf
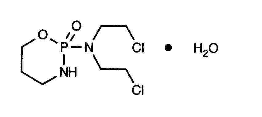
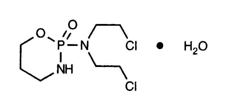
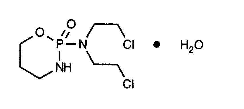
   Chemical structure  

Capsule
Stability of mixtures   Capsule   Stability of mixtures : Cyclophosphamide     
No data

  Mentions Légales