Poslední aktualizace :
27/01/2026
rakovina drog   Cyclophosphamide  
kapsle
injekce Perorální roztok
Stabilita farmaceutických přípravků Stabilita směsí Faktory ovlivňující stabilitu Kompatibilita Odkazy pdf
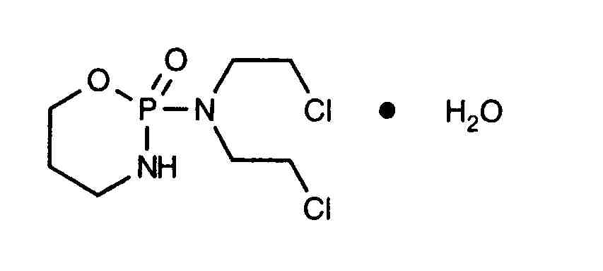
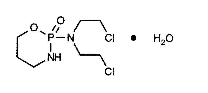
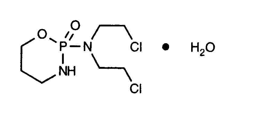
   Chemický vzorec  

kapsle
Stabilita směsí   kapsle   Stabilita směsí : Cyclophosphamide     
žádná data

  Mentions Légales