zadnja posodobitev :
27/01/2026
rak drog   Cyclophosphamide  
Kapsula
Brizgalka Peroralna raztopina
Stabilnost farmacevtskih preparatov Stabilnost mešanice Faktorji, ki vplivajo na stabilnost Kompatibilnost Viri pdf
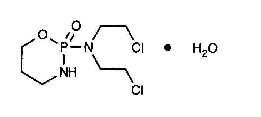
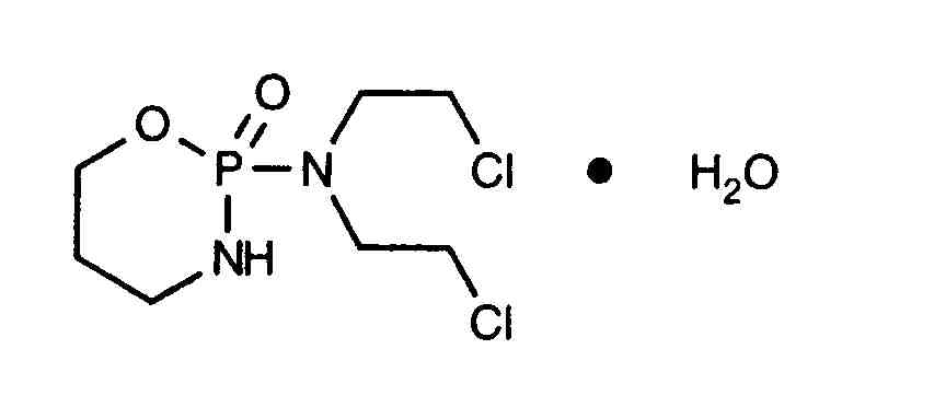
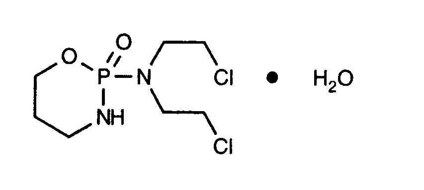
   Kemična formula  

Kapsula
Stabilnost mešanice   Kapsula   Stabilnost mešanice : Cyclophosphamide     
ni podatka

  Mentions Légales