Utolsó frissítés :
27/01/2026
rákellenes gyógyszer   Cyclophosphamide  
kapszula
belsőleges oldat Injekció
Stabilitása gyógyszerészeti készítmények A keverékek stabilitása Stabilitást befolyásoló tényezők Kompatibilitás Irodalom pdf
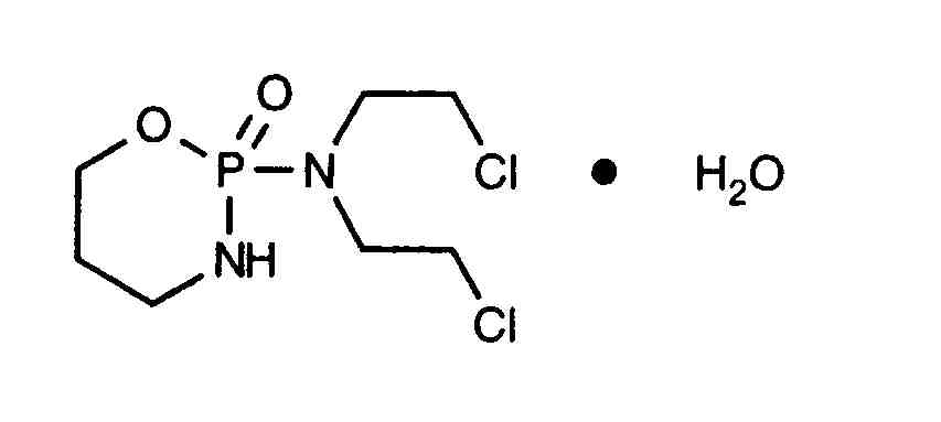
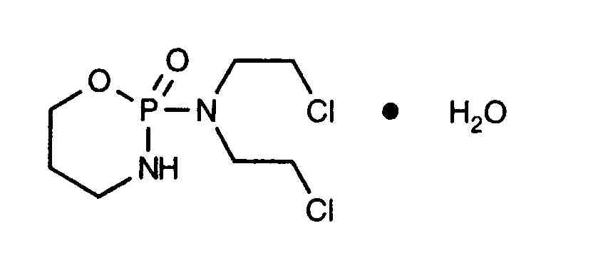
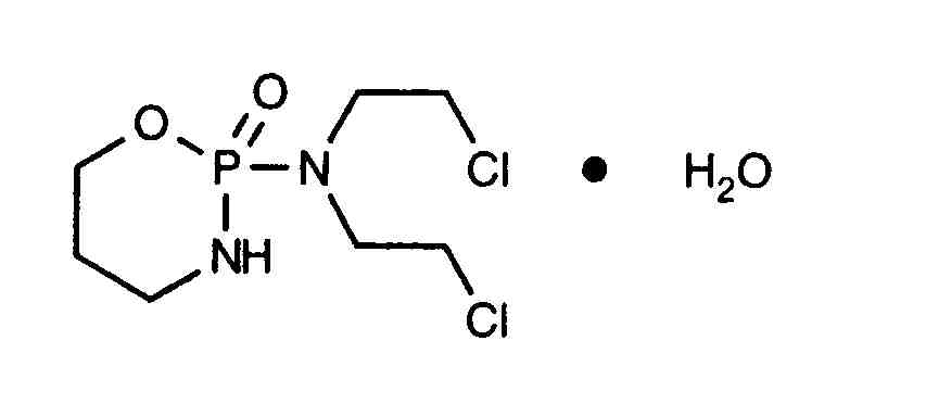
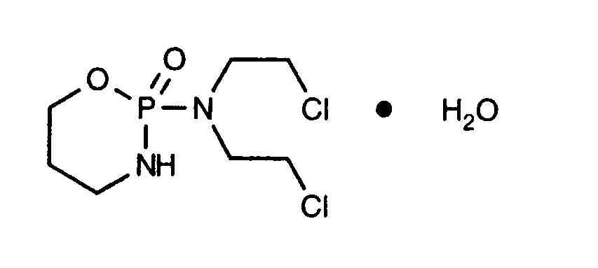
   Kémiai szerkezet   

kapszula
A keverékek stabilitása   kapszula   A keverékek stabilitása : Cyclophosphamide     
Hiányzó adat

  Mentions Légales