Viimeisin päivitys :
27/01/2026
syöpälääke   Cyclophosphamide  
Kapseli
Injektioneste Oraaliliuos
Vakaus lääkevalmisteen Stabilius seoksissa Tekijät, jotka vaikuttavat stabiliuteen Yhteensopivuus Viitteet pdf
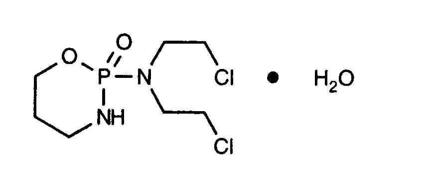
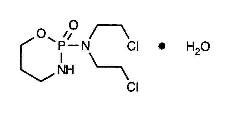
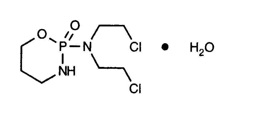
   Kemiallinen rakenne  

Kapseli
Stabilius seoksissa   Kapseli   Stabilius seoksissa : Cyclophosphamide     
ei tietoa

  Mentions Légales