Pēdējā atjaunošana :
27/01/2026
vēzis narkotiku   Cyclophosphamide  
Kapsula
Injekcija Orāls šķīdums
Stabilitāte farmaceitisko preparātu Maisījuma stabilitāte Stabilitāti ietekmējoši faktori Saderība Literatūras saraksts pdf
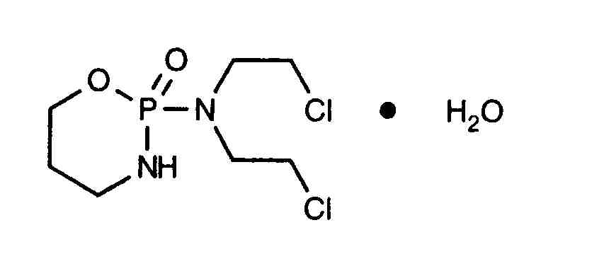
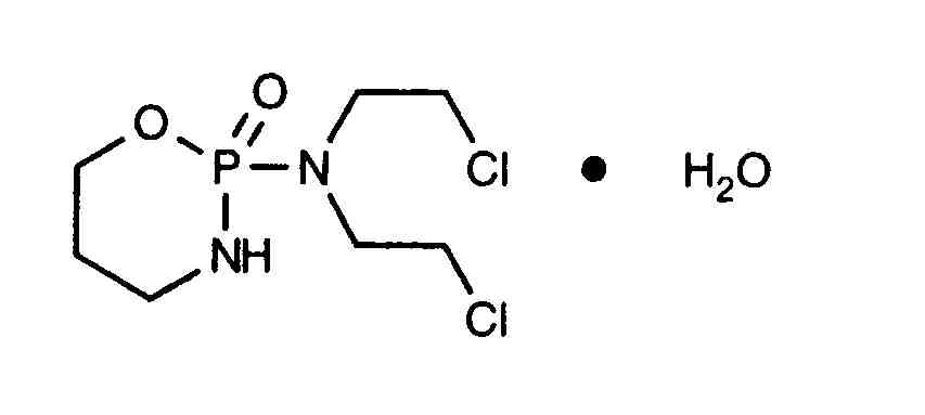
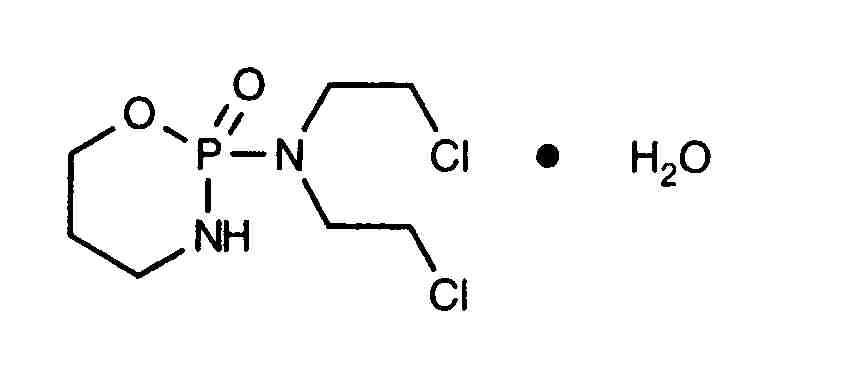
   Ķīmiskā uzbūve   

Kapsula
Maisījuma stabilitāte   Kapsula   Maisījuma stabilitāte : Cyclophosphamide     
Nav datu

  Mentions Légales