Cập nhật lần cuối :
27/01/2026
thuốc trị ung thư   Cyclophosphamide  
Viên nang
Dạng tiêm Dung dịch uống
Tính ổn định của các chế phẩm Độ ổn định khi trộn lẫn Những yếu tố ảnh hưởng đến độ ổn định Khả năng tương thích Tài liệu tham khảo Pdf
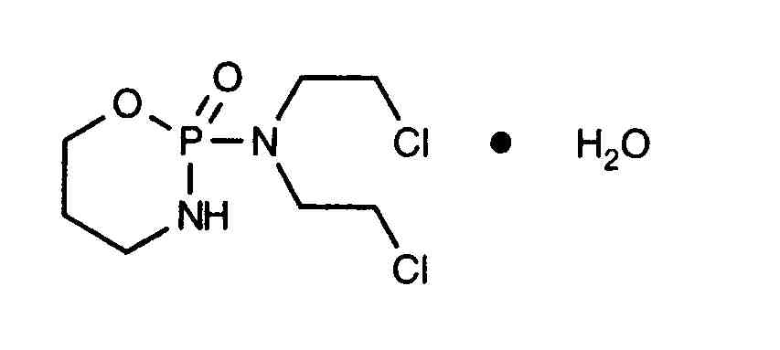
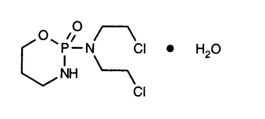
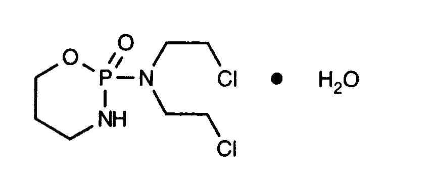
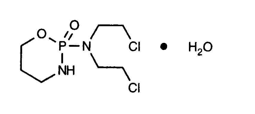
   Cấu trúc hóa học  

Viên nang

Những yếu tố ảnh hưởng đến độ ổn định   Viên nang   Những yếu tố ảnh hưởng đến độ ổn định : Cyclophosphamide        
Không có dữ liệu

  Mentions Légales