viimane versioon :
27/01/2026
vähiravimite   Cyclophosphamide  
kapsel
Süsteravim suukaudne lahus
Stabiilsust ravimpreparaadid Stabiilsust mõjutavad tegurid stabiilsust mõjutavad faktorid Sobimatus Viited pdf
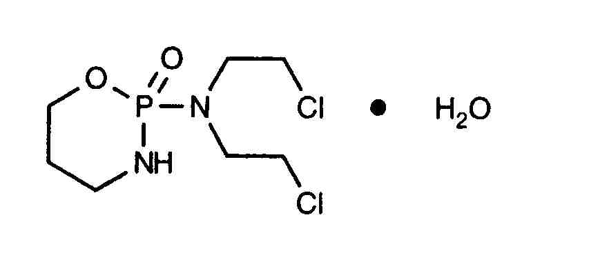
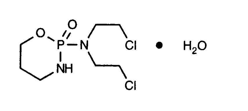
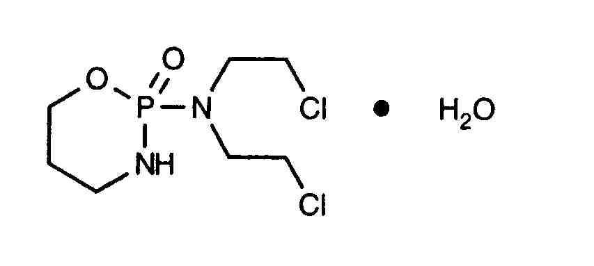
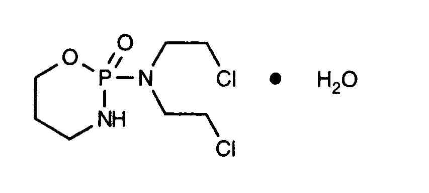
   keemiline struktuur  

kapsel

stabiilsust mõjutavad faktorid   kapsel   stabiilsust mõjutavad faktorid : Cyclophosphamide        
andmed puuduvad

  Mentions Légales