Senaste uppdateringen :
27/01/2026
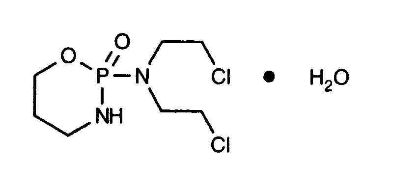
cancerläkemedel   Cyclophosphamide  
Kapsel
injektion Oral lösning
Stabilitet av läkemedel Stabilitet i blandningar Faktorer som påverkar stabiliteten Kompatibilitet Hänvisningar pdf
   Molekylstruktur  

Kapsel

Faktorer som påverkar stabiliteten   Kapsel   Faktorer som påverkar stabiliteten : Cyclophosphamide        
Ingen uppgift

  Mentions Légales