Последнее обновление :
27/01/2026
Цитостатическое средство   Cyclophosphamide  
Капсула
Инъекция Раствор для перорального приёма
Стабильность фармацевтических препаратов Стабильность смесей Факторы, которые влияют на стабильность Совместимость Библиография pdf
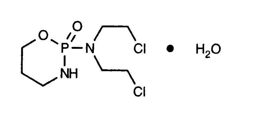
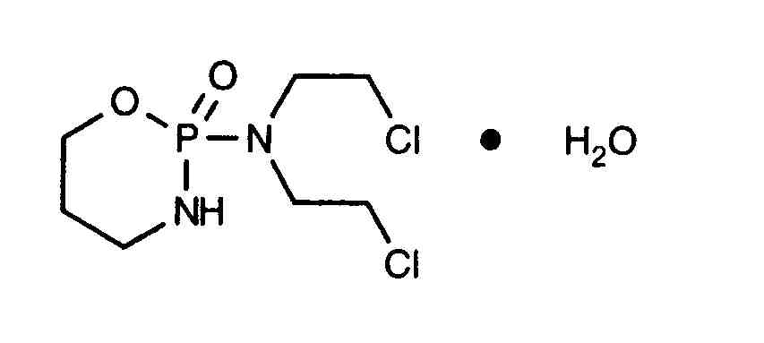
   Химическая структура  

Капсула

Факторы, которые влияют на стабильность   Капсула   Факторы, которые влияют на стабильность : Cyclophosphamide        
данных нет

  Mentions Légales