Poslední aktualizace :
27/04/2026
vėžio narkotikų   Cyclophosphamide  
Kapsulė
Geriamas tirpalas Įpurškimas
Stabilumas farmacinių preparatų Mišinių stabilumas Stabilumą lemiantys veiksniai Suderinamumas Bibliografija pdf
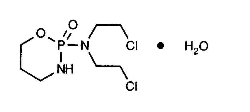
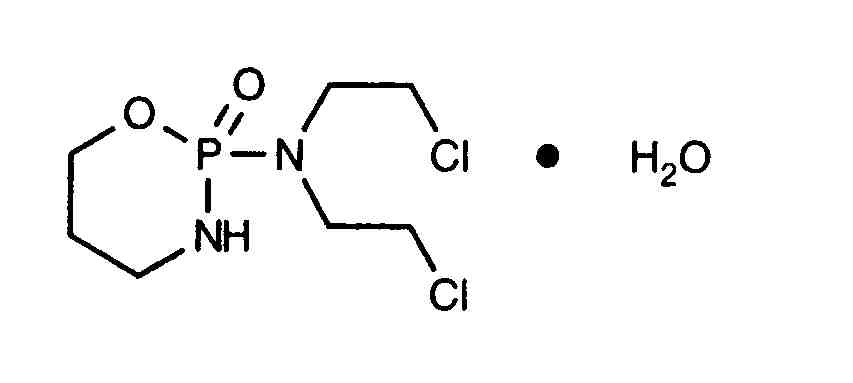
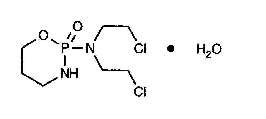
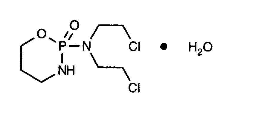
   Cheminė sandara  

Kapsulė

Stabilumą lemiantys veiksniai   Kapsulė   Stabilumą lemiantys veiksniai : Cyclophosphamide        
Nėra duomenų

  Mentions Légales