Последно актуализиране :
27/01/2026
противораково лекарство   Cyclophosphamide  
Капсула
Инжекция/Инжекционен Орален разтвор
Стабилност на лекарствени препарати Стабилност на смеси Фактори, повлияващи стабилността Съвместимост Библиография Pdf
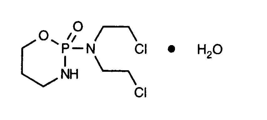
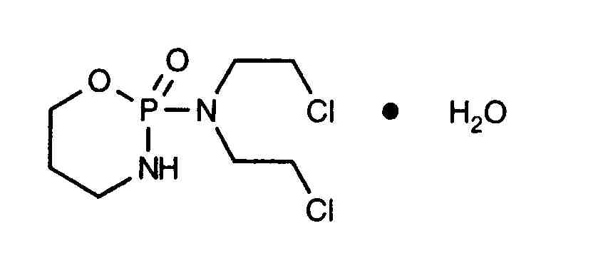
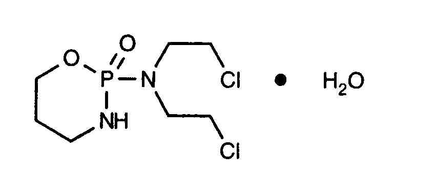
   Химична структура  

Капсула

Фактори, повлияващи стабилността   Капсула   Фактори, повлияващи стабилността : Cyclophosphamide        
Няма данни

  Mentions Légales