Dernière mise à jour :
27/01/2026
Anticancéreux   Cyclophosphamide  
Gélule
injectable Solution buvable
Stabilité des préparations Stabilité en mélange Facteur influençant la stabilité Compatibilités Bibliographie pdf
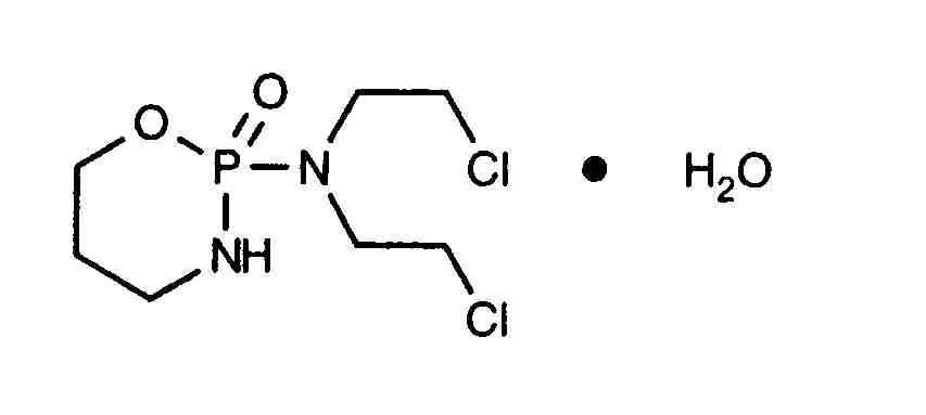
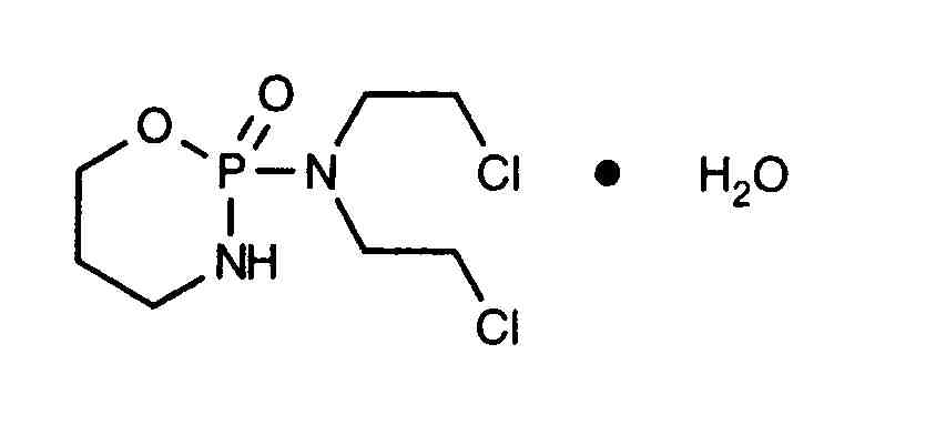
   Structure chimique  

Gélule

Facteur influençant la stabilité   Gélule   Facteur influençant la stabilité : Cyclophosphamide        
Aucune donnée

  Mentions Légales