Siste oppdatering :
27/01/2026
kreft narkotika   Cyclophosphamide  
Kapsel
Injeksjon Mikstur
Stabilitet av farmasøytiske preparater Stabilitet i blandinger Faktorer som påvirker stabiliteten Kompatibilitet Referanser pdf
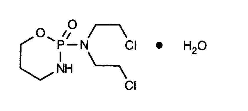
   Kjemisk struktur  

Kapsel

Faktorer som påvirker stabiliteten   Kapsel   Faktorer som påvirker stabiliteten : Cyclophosphamide        
Ingen opplysninger

  Mentions Légales