Utolsó frissítés :
27/01/2026
rákellenes gyógyszer   Cyclophosphamide  
kapszula
belsőleges oldat Injekció
Stabilitása gyógyszerészeti készítmények A keverékek stabilitása Stabilitást befolyásoló tényezők Kompatibilitás Irodalom pdf
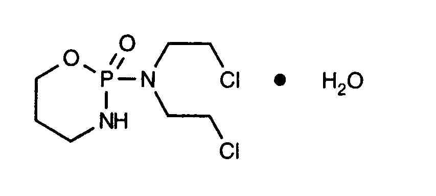
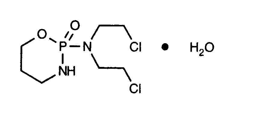
   Kémiai szerkezet   

kapszula

Stabilitást befolyásoló tényezők   kapszula   Stabilitást befolyásoló tényezők : Cyclophosphamide        
Hiányzó adat

  Mentions Légales