Zadnji put ažurirano :
27/01/2026
lijek protiv karcinoma   Cyclophosphamide  
kapsula
injekcija oralna otopina
Stabilnost farmaceutskih pripravaka Stabilnost mješavine Stabilizacijski faktor Kompatibilnosti Bibliografija pdf
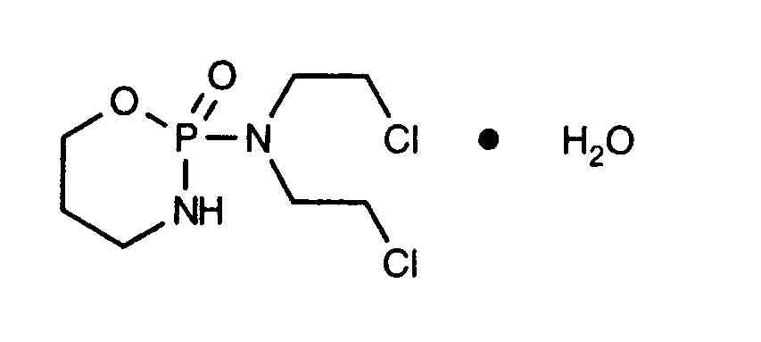
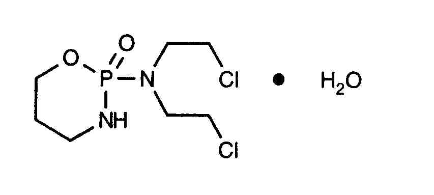
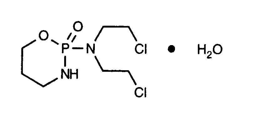
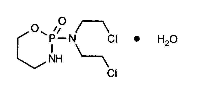
   Kemijska struktura  

kapsula

Stabilizacijski faktor   kapsula   Stabilizacijski faktor : Cyclophosphamide        
bez podataka

  Mentions Légales