Ostatnia aktualizacja :
27/01/2026
Lek cytostatyk   Cyclophosphamide  
Kapsułka
Injekcje Roztwór doustny
Stabilność preparatów farmaceutycznych Trwałość w mieszaninie Czynnik wpływający na trwałość Zgodność Bibliografia pdf
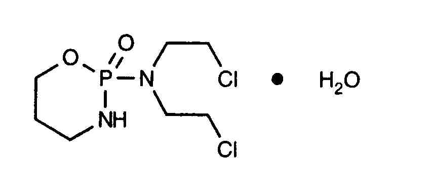
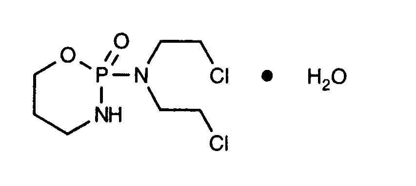
   Struktura chemiczna  

Kapsułka

Czynnik wpływający na trwałość   Kapsułka   Czynnik wpływający na trwałość : Cyclophosphamide        
Brak danych

  Mentions Légales