Ultimele actualizari :
27/04/2026
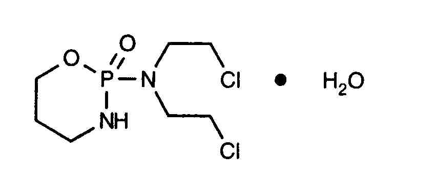
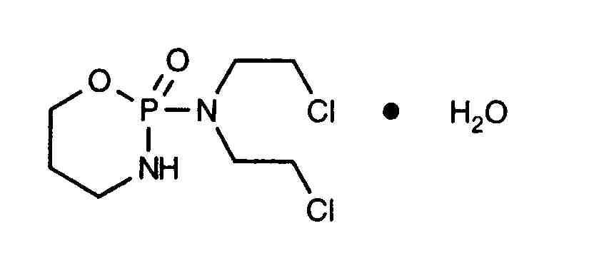
Citostatic   Cyclophosphamide  
Capsulă
Injectabil Soluţie orală
Stabilitatea preparatelor farmaceutice Stabilitatea in amestec Factorii care influenteaza stabilitatea Compatibilitate Bibliografie pdf
   Formula chimica  

Capsulă

Factorii care influenteaza stabilitatea   Capsulă   Factorii care influenteaza stabilitatea : Cyclophosphamide        
Absenta de date

  Mentions Légales