Τελευταία ενημέρωση :
27/01/2026
φάρμακο κατά του καρκίνου   Cyclophosphamide  
Κάψουλα
Ενέσιμο Πόσιμο διάλυμα
Σταθερότητα και συμβατότητα των φαρμάκων Σταθερότητα σε μίγματα Παράγοντας που επηρεάζει τη σταθερότητα Συμβατότητες Βιβλιογραφία pdf
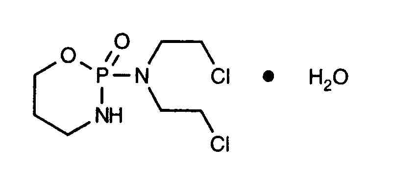
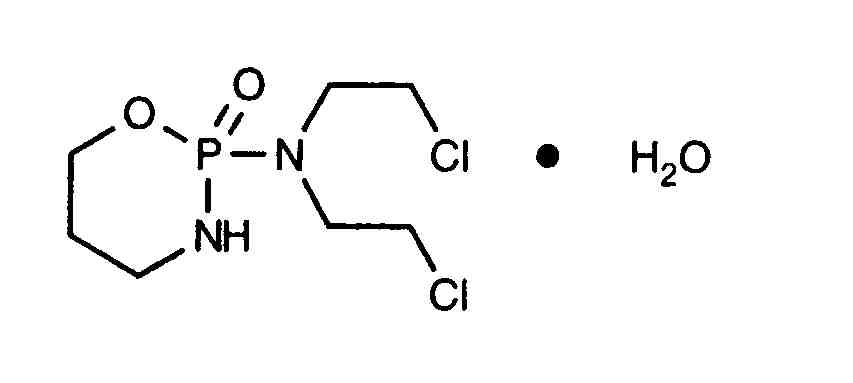
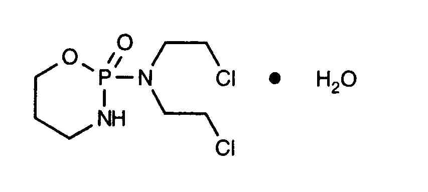
   χημική δομή  

Κάψουλα

Παράγοντας που επηρεάζει τη σταθερότητα   Κάψουλα   Παράγοντας που επηρεάζει τη σταθερότητα : Cyclophosphamide        
Δεν υπάρχουν πληροφορίες

  Mentions Légales