Son güncelleme :
27/01/2026
kanser ilaç   Cyclophosphamide  
Kapsül
Enjeksiyon Oral solüsyon / oral çözelti
Farmasötik preparatlar Kararlılığı Karışımlardaki stabilitesi Stabiliteyi etkileyen faktörler Uyumluluk Kaynaklar pdf
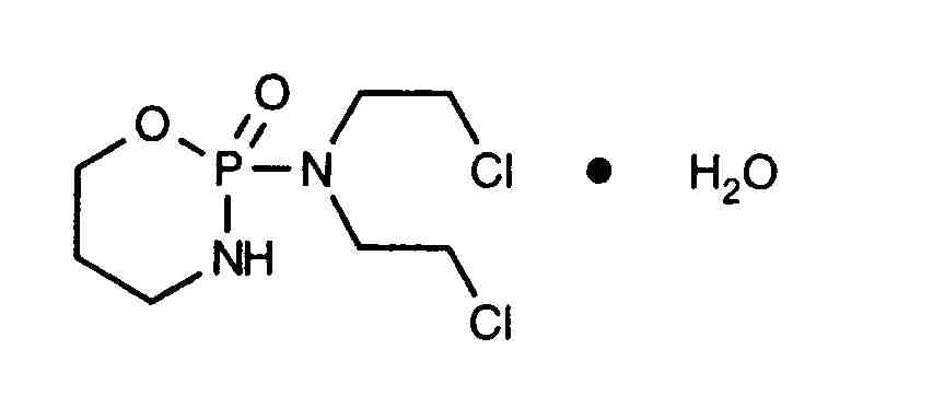
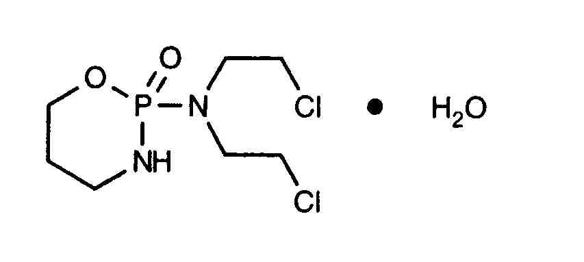
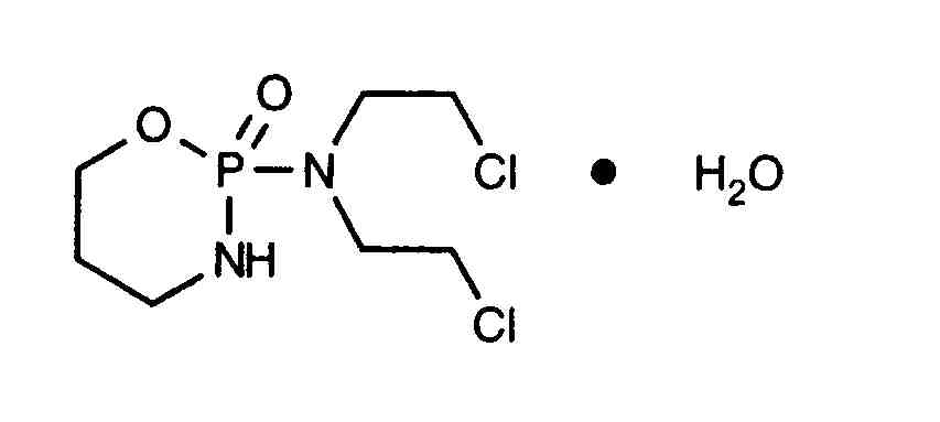
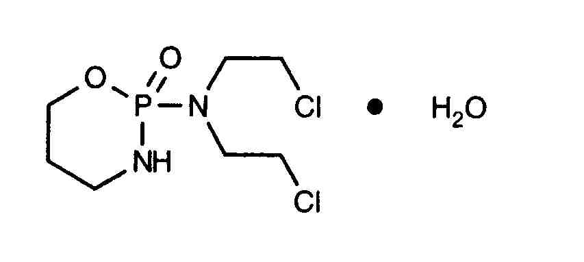
   Kimyasal yapı   

Kapsül

Stabiliteyi etkileyen faktörler    Kapsül   Stabiliteyi etkileyen faktörler : Cyclophosphamide        
veri yok

  Mentions Légales