Останнє оновлення :
27/01/2026
Антибіотик   Gentamicin sulfate  
Очні краплі
ін'єкція
Стабільність фармацевтичних препаратів Стійкість сумішей Фактори, що впливають на стабільність Сумісність Список літератури pdf
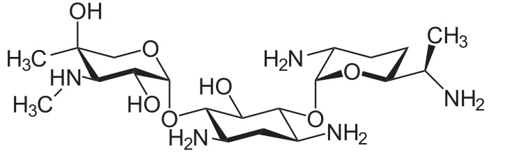
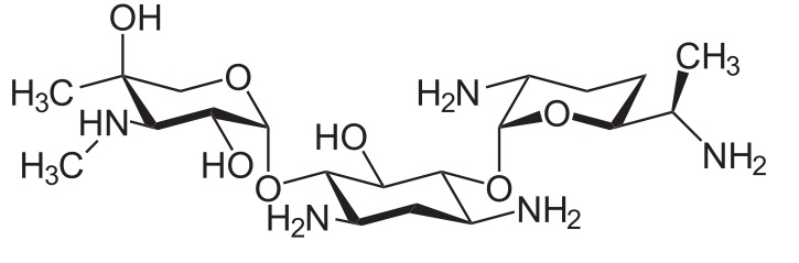
   Хімічна структура  

Очні краплі
Стійкість сумішей   Очні краплі   Стійкість сумішей : Gentamicin sulfate     
7 / 5 000 Résultats de traduction Немає даних

  Mentions Légales