Letztes “update” :
27/01/2026
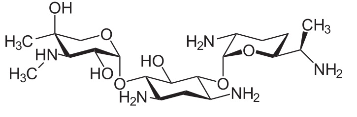
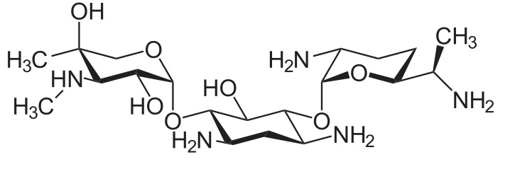
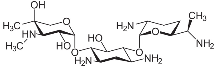
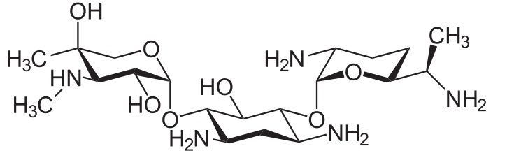
Antibiotikum   Gentamicin sulfate  
Augentropfen
Injektion
Stabilität von pharmazeutischen Präparaten Gemengestabilität Stabilitätbeeinflussende Faktoren Kompatibilitäten Literaturverzeichnis pdf
   Chemische Struktur  

Augentropfen
Gemengestabilität   Augentropfen   Gemengestabilität : Gentamicin sulfate     
Keine Daten

  Mentions Légales