Pēdējā atjaunošana :
27/01/2026
Antibiotika   Gentamicin sulfate  
Acu pilieni
Injekcija
Stabilitāte farmaceitisko preparātu Maisījuma stabilitāte Stabilitāti ietekmējoši faktori Saderība Literatūras saraksts pdf
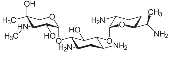
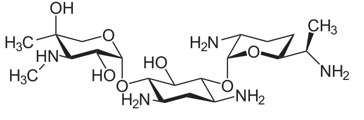
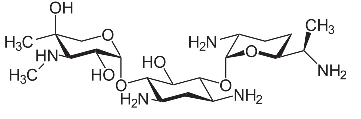
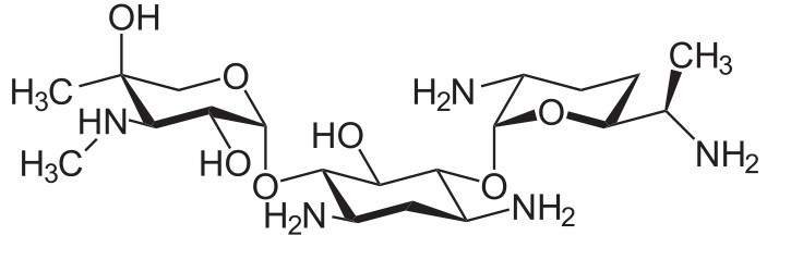
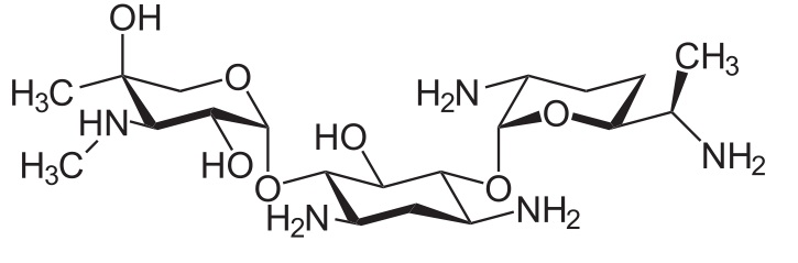
   Ķīmiskā uzbūve   

Acu pilieni
Maisījuma stabilitāte   Acu pilieni   Maisījuma stabilitāte : Gentamicin sulfate     
Nav datu

  Mentions Légales