Siste oppdatering :
27/01/2026
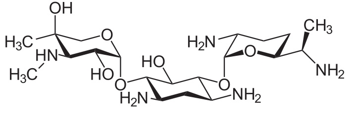
Antibiotika   Gentamicin sulfate  
Øyedråper
Injeksjon
Stabilitet av farmasøytiske preparater Stabilitet i blandinger Faktorer som påvirker stabiliteten Kompatibilitet Referanser pdf
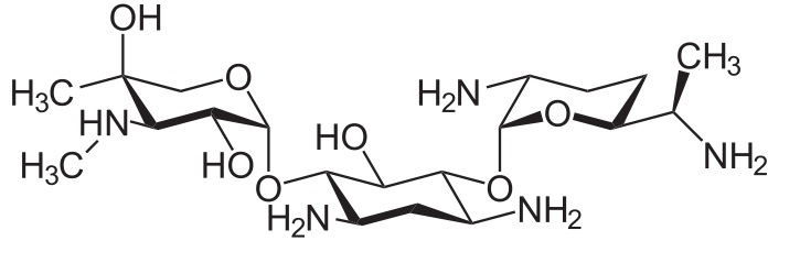
   Kjemisk struktur  

Øyedråper
Stabilitet i blandinger   Øyedråper   Stabilitet i blandinger : Gentamicin sulfate     
Ingen opplysninger

  Mentions Légales