zadnja posodobitev :
27/01/2026
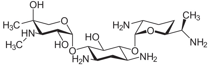
Antibiotik   Gentamicin sulfate  
Kapljice za oči
Brizgalka
Stabilnost farmacevtskih preparatov Stabilnost mešanice Faktorji, ki vplivajo na stabilnost Kompatibilnost Viri pdf
   Kemična formula  

Kapljice za oči
Stabilnost mešanice   Kapljice za oči   Stabilnost mešanice : Gentamicin sulfate     
ni podatka

  Mentions Légales