Senaste uppdateringen :
27/01/2026
Antibiotikum   Gentamicin sulfate  
ögondroppar
injektion
Stabilitet av läkemedel Stabilitet i blandningar Faktorer som påverkar stabiliteten Kompatibilitet Hänvisningar pdf
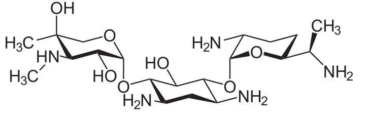
   Molekylstruktur  

ögondroppar
Stabilitet i blandningar   ögondroppar   Stabilitet i blandningar : Gentamicin sulfate     
Ingen uppgift

  Mentions Légales