Ultimo aggiornamento :
27/01/2026
Antibiotico   Gentamicin sulfate  
Collirio
Iniezione
Stabilità dei preparati farmaceutici Stabilità in miscela Fattori che influenzano la stabilità Compatibilità Bibliografia pdf
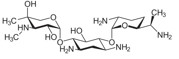
   Struttura chimica  

Collirio
Stabilità in miscela   Collirio   Stabilità in miscela : Gentamicin sulfate     
Assenza di dati

  Mentions Légales